Предмет: Алгебра,
автор: Fghfgt34566u9234567i
Ну пожалуйста умоляю помагите срочно !!!
Приложения:
Ответы
Автор ответа:
0
подставляя y в каэдое уравнение можно получить правильный ответ
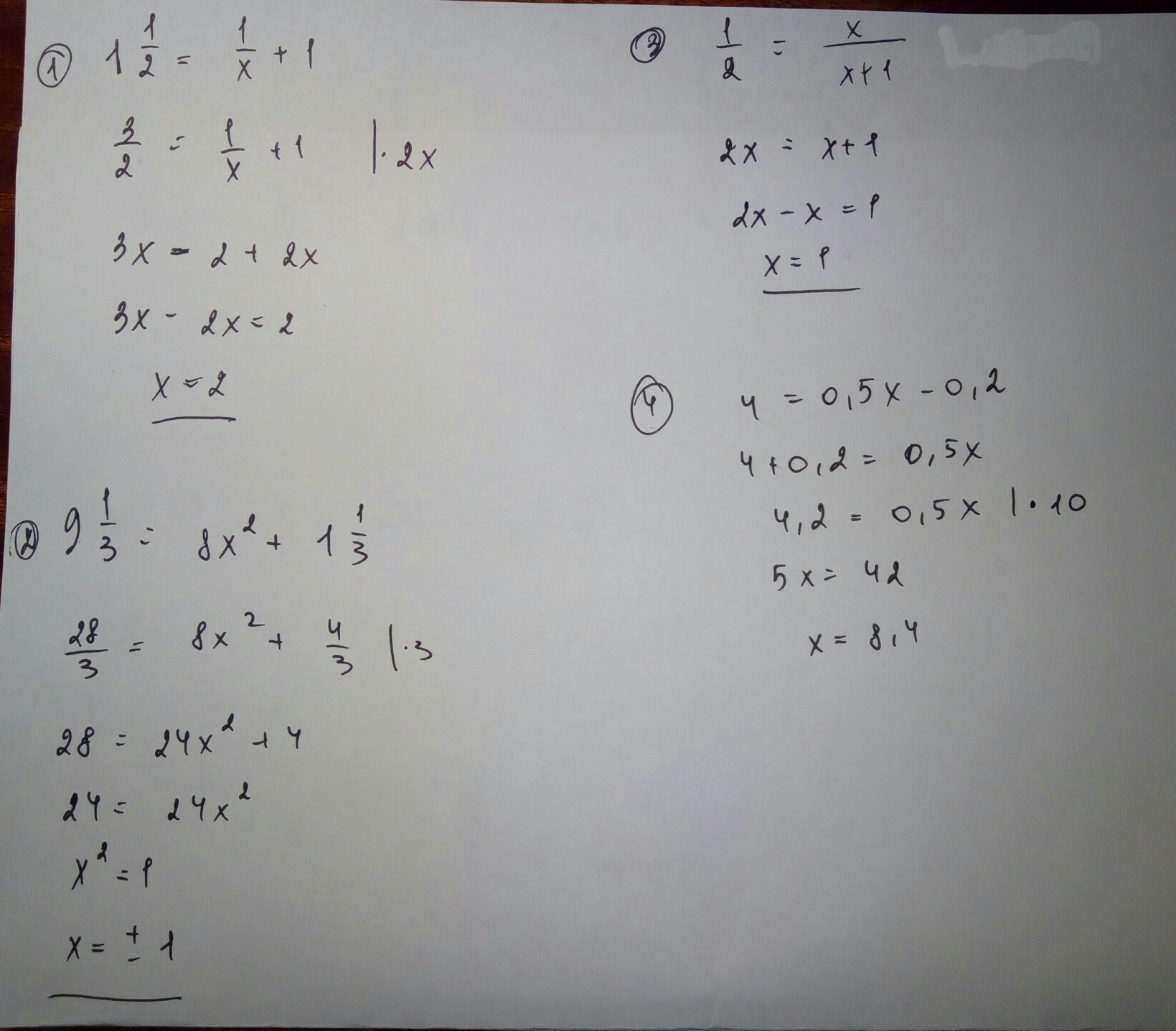
x=2
x=+-1
x=1
x=8,4
Автор ответа:
0
x1 = 2
x2 = +-1
x3 = 1
x4 = 8.4
x2 = +-1
x3 = 1
x4 = 8.4
Приложения:
Похожие вопросы
Предмет: Русский язык,
автор: Аноним
Предмет: Литература,
автор: sofiia21042008
Предмет: География,
автор: sofilllll55555
Предмет: Математика,
автор: сашабмвх6
Предмет: Математика,
автор: 39210