Предмет: Алгебра,
автор: tahirabdullaev
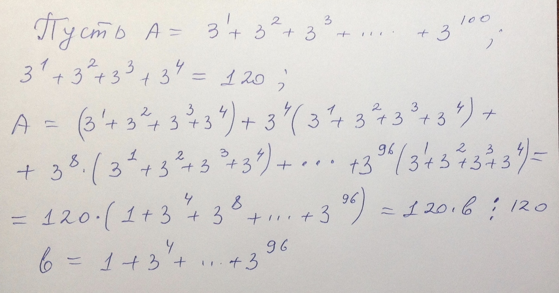
Помогите пожалуйста нужно даказать что (3^1+3^2+....+3^100):120. Это_^^^^^^_ знак степени
Ответы
Автор ответа:
0
.............................................................................
Приложения:
Похожие вопросы
Предмет: Биология,
автор: nekoglai88383
Предмет: Русский язык,
автор: khamkhoevakamila0506
Предмет: Физика,
автор: ftryzet6
Предмет: Физика,
автор: kra12dasha
Предмет: История,
автор: dinusja14