Предмет: Алгебра,
автор: 47299193810
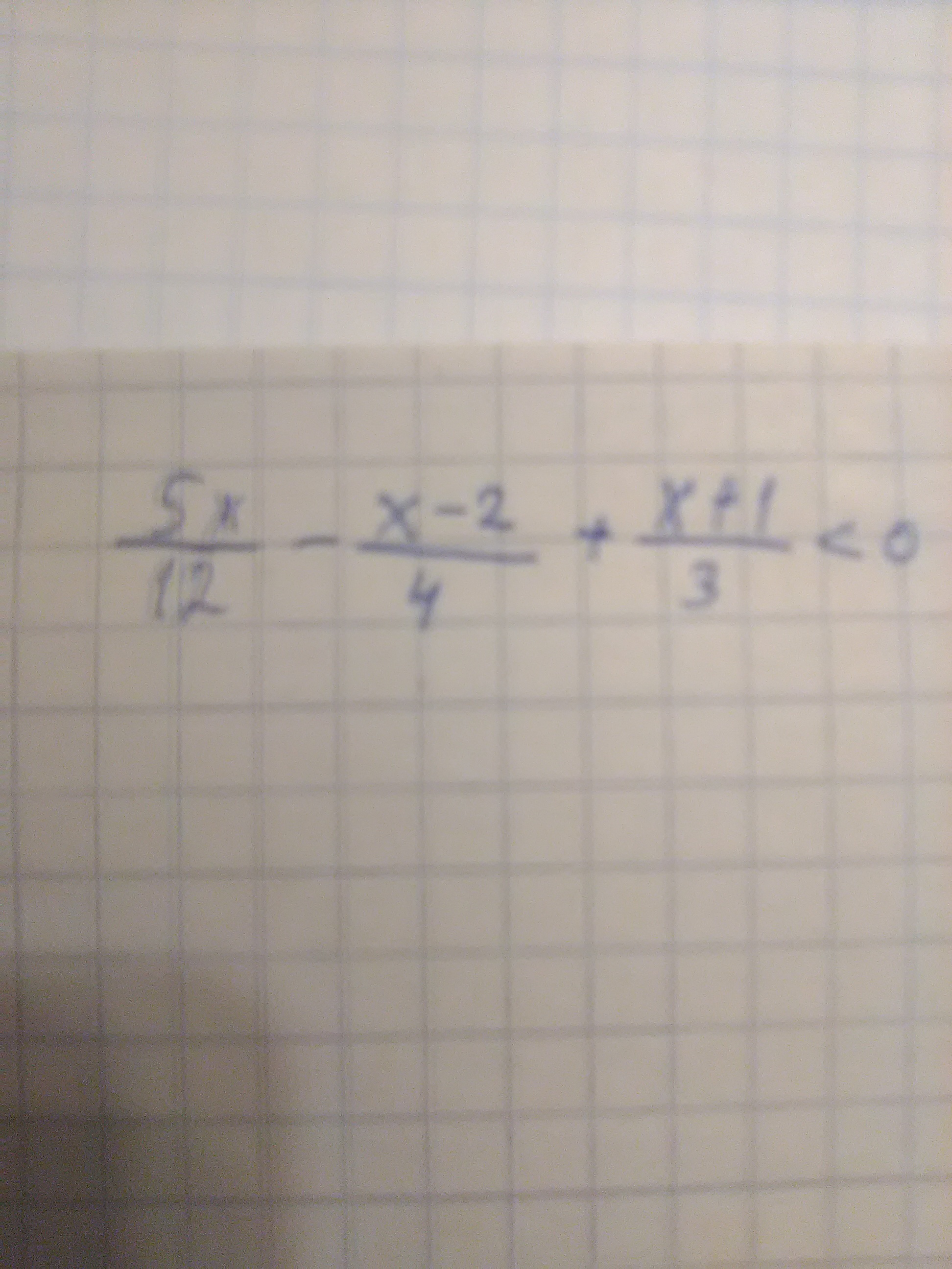
Помогите пожалуйста!)
Приложения:
Ответы
Автор ответа:
0
5х - 3 (х-2)+4(х+1)《0 = 5×3х+6+4×4《0=6х+10《0=6х《-10=х《-5/3
Похожие вопросы
Предмет: Математика,
автор: dim4ikbrawlstars
Предмет: Французский язык,
автор: romanmaryashin
Предмет: История,
автор: sdianka09
Предмет: Математика,
автор: ФЛИМ1231
Предмет: Математика,
автор: olga480