Предмет: Алгебра,
автор: vv555359
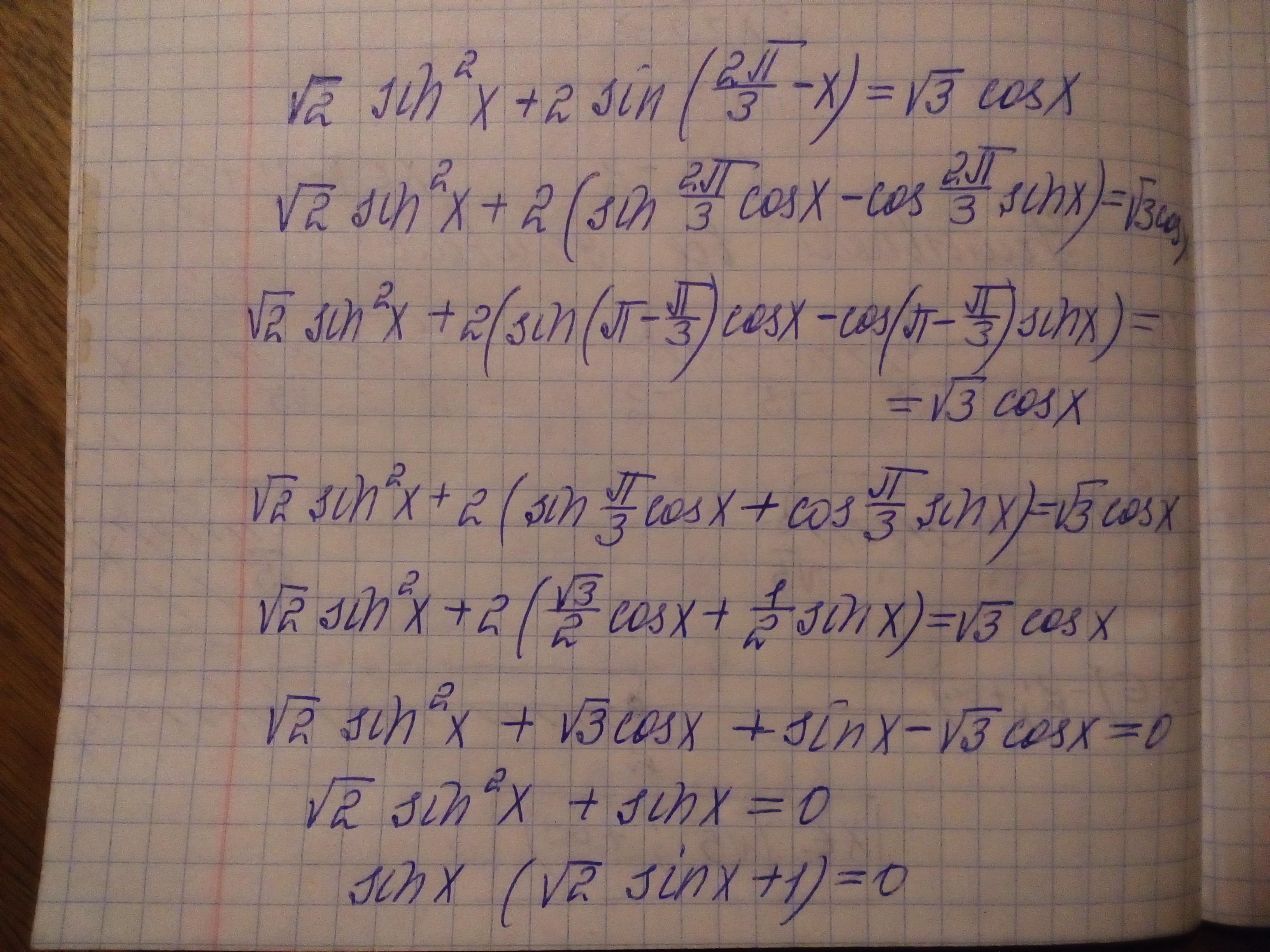
Решите тригонометрическое уравнение пожалуйста❤️
Приложения:
Ответы
Автор ответа:
0
!!!!!!!!!!!!!!!!!!!!!!!!!!!
Приложения:
Похожие вопросы
Предмет: Биология,
автор: Hellllllllllllll
Предмет: Английский язык,
автор: alievaasila245
Предмет: Физика,
автор: elinakonstantinovna6
Предмет: Алгебра,
автор: zerrrrooooo
Предмет: Алгебра,
автор: антиматематик1