Предмет: Алгебра, автор: максим282828

Решите с 755 по 764 уравнения

Приложения:

Ответы

Автор ответа: Artemkotkot20
0

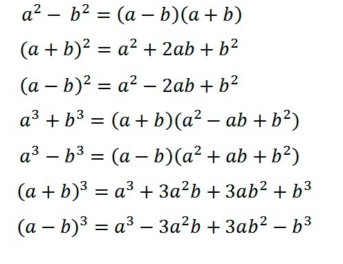
Чтобы решать это, нужно знать формулы сокращённого умножения. Итак, раскрываем уравнения:

755.(x+6)^2=(x+9)^2              756.(7-x)^2=(x+3)^2

x^2+12x+36=x^2+18x+81               49-14x+x^2=x^2+6x+9

x^2+12x+36-x^2-18x-81=0               49-14x+x^2-x^2-6x-9=0

-6x-45=0                                          -20x+40=0

-6x=45                                               -20x=-40

x=45/-6                                               x=-40/-20

x=-7,5.                                                   x=2

757.(x-1)^2=(14-x)^2                      758. (x-7)^2=(9-x)^2

      x^2-2x+1=196-28x+x^2          x^2-14x+49=81-18x+x^2

      x^2-2x+1-196+28x-x^2=0      x^2-14x+49-81+18x-x^2=0

      26x-195=0                              4x-32=0

       26x=195                                 4x=32

       x=195/26                                 x=32/4

       x=7,5.                                      x=8

759.(x+10)^2=(2-x)^2             760.(x+9)^2=(10-x)^2

x^2+20x+100=4-4x+x^2                x^2+18x+81=100-20x+x^2

x^2+20x+100-4+4x-x^2=0            x^2+18x+81-100+20x-x^2=0

24x+96=0                                      38x-19=0

24x=-96                                          38x=19

x=-96/24                                         x=19/38

x=-4.                                                 x=1/2

                                                    x=0,5 можешь так записать, если хочешь.

761.-2x^2-2x+5=-x^2-x-(1+x^2)   762.-2x^2+3x-4=-x^2-x+(2-x^2)

      -2x^2-2x+5=-x^2-x-1-x^2             -2x^2+3x-4=-x^2-x+2-x^2

      -2x^2-2x+5=-2x^2-x-1                   -2x^2+3x-4=-2x^2-x+2

      -2x^2-2x+5+2x^2+x+1=0               -2x^2+3x-4+2x^2+x-2=0

      -x+6=0                                             3x-6=0

      -x=-6                                                 3x=6

       x=6.                                                  x=6/3

                                                               x=2.

763.x^2+3x-(1-2x^2)=3x^2-x+4       764.x^2-5x+5=-x^2-x-(-3-2x^2)

      x^2+3x-1+2x^2=3x^2-x+4                x^2-5x+5=-x^2-x+3+2x^2

      3x^2+3x-1=3x^2-x+4=0                    x^2-5x+5+x^2+x-3-2x^2=0

       3x^2+3x-1-3x^2+x-4=0                    2x^2-2x^2-4x+2=0

       -4x-5=0                                             -4x+2=0

        -4x=5                                                -4x=-2

          x=5/-4                                               x=-2/-4

          x=-1,25                                              x=0,5.

Если что-то непонятно, откуда что взялось и куда исчезло :D спроси.

       



           


Приложения:
Похожие вопросы
Предмет: Химия, автор: ffefdfgw333
Предмет: Українська мова, автор: valettingalushko1402