Предмет: Алгебра,
автор: nansy19912
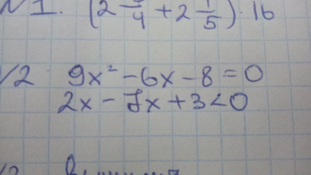
решите,пожалуйста!
Заранее спасибо
Приложения:
Ответы
Автор ответа:
0
Я не понял.
2 задание, там должно быть в квадрате, кажется ты его забыл написать
Приложения:
Похожие вопросы
Предмет: Алгебра,
автор: ananimysgay
Предмет: Физика,
автор: godenusko
Предмет: Физика,
автор: bllackdream
Предмет: Математика,
автор: Алинв145