Предмет: Алгебра,
автор: borcova02
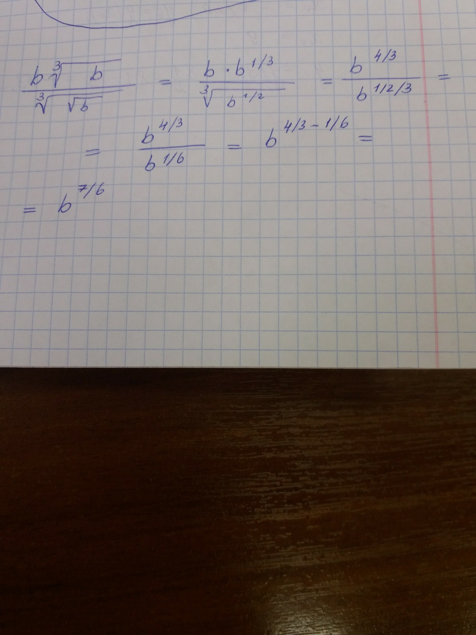
Запишите в виде степени b³√b/√³√b
Ответы
Автор ответа:
0
______________________
Приложения:
Похожие вопросы
Предмет: Математика,
автор: milana25072011
Предмет: Физкультура и спорт,
автор: gerasimenkover23
Предмет: Математика,
автор: olapolakova939
Предмет: Алгебра,
автор: Аноним
Предмет: Литература,
автор: сонька578