Предмет: Алгебра,
автор: kotkaeliza
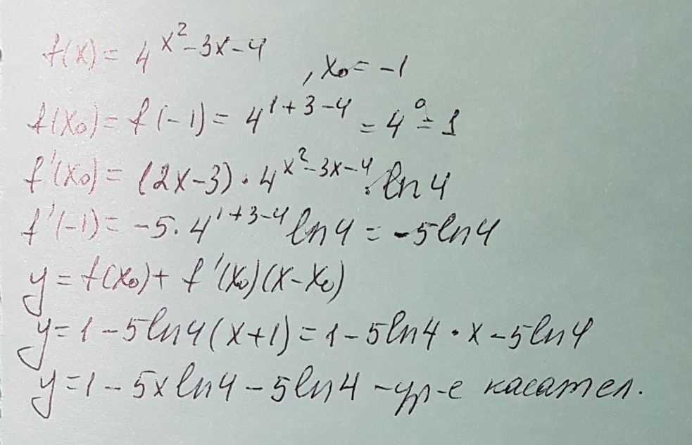
Помогите решить по алгебре:
Приложения:
Ответы
Автор ответа:
0
решение задания смотри на фотографии
Приложения:
Похожие вопросы
Предмет: Математика,
автор: andreibondarchuk683
Предмет: Физика,
автор: kiryanovzh
Предмет: Химия,
автор: cixuqapkzn
Предмет: Математика,
автор: winxclubmusa
Предмет: Математика,
автор: winxclubmusa