Предмет: Алгебра,
автор: SaveNN
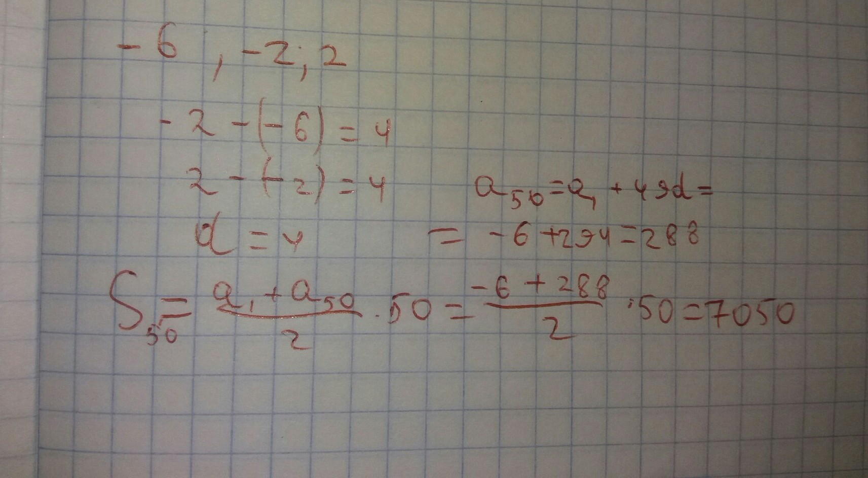
выписаны три числа арифметической прогрессии -6 -2 2 найдите сумму первых пятидесяти ее членов
Ответы
Автор ответа:
1
. . . . .. .. ... . .... . . ..
Приложения:
Похожие вопросы
Предмет: Алгебра,
автор: yurakarasuk7
Предмет: Английский язык,
автор: simtn63
Предмет: Геометрия,
автор: esetovnurali23
Предмет: Алгебра,
автор: mirarita
Предмет: Алгебра,
автор: mirarita