Предмет: Алгебра,
автор: dumbassbitch
ПОМОГИТЕ , ПОЖАЛУЙСТАА.
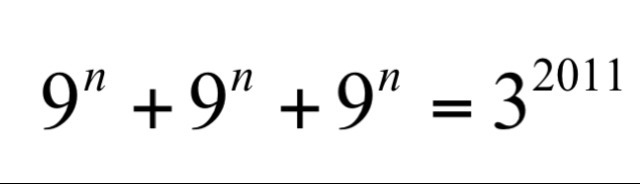
Нужно найти значение n , если (дальше на картинке)
Приложения:
Ответы
Автор ответа:
1
Похожие вопросы
Предмет: Русский язык,
автор: waleriak2010
Предмет: Русский язык,
автор: zenakrol3
Предмет: Информатика,
автор: bartrom
Предмет: История,
автор: лэл2
Предмет: Математика,
автор: Аноним