Предмет: Математика,
автор: sofiyka10
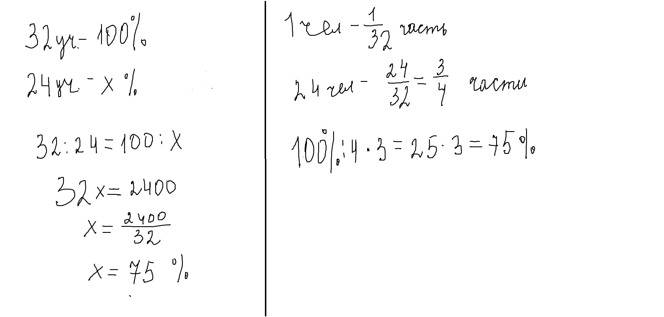
З 32 учнів класу 24 чоловіка займаються в спортивних секціях ? Яка частина учнів займається спортом?Відповідь вирази у процентах.
Ответы
Автор ответа:
5
решение смотри внизу
Приложения:
Похожие вопросы
Предмет: Физика,
автор: gromovtima17
Предмет: Информатика,
автор: user300507
Предмет: История,
автор: birmagambetnurym67
Предмет: Математика,
автор: ник2500
Предмет: Геометрия,
автор: qwerty32281