Предмет: Алгебра,
автор: svetaabakumova91
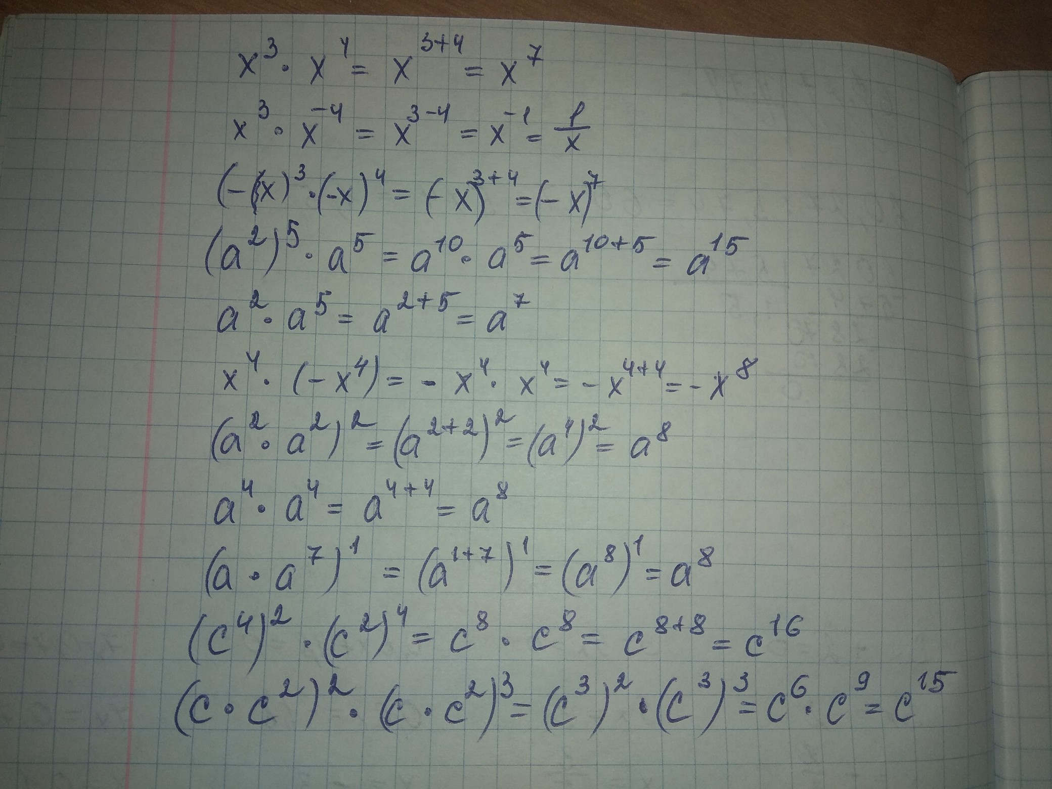
Упростите выражение
Х^3*(х^4)
Х^3*(-х^4)
(-х)^3*(-х^4)
(а^2)^5*а^5
(а^2*а^5)
(х^4)*(-х^4)
(а^2*а^2)^2
а^4*(а^4)
(а*а^7)^1
(с^4)^2*(с^2)^4
(с*с^2)^2*(с*с^2)^3
Срочно пожалуйста
Ответы
Автор ответа:
0
ответы приведены на фотографии
Приложения:
Похожие вопросы
Предмет: ОБЖ,
автор: popovillya2020
Предмет: География,
автор: kotekotemar
Предмет: Математика,
автор: aniakhomik
Предмет: Математика,
автор: kostya102
Предмет: Математика,
автор: 1928374654