Предмет: Математика,
автор: basha21345gedh
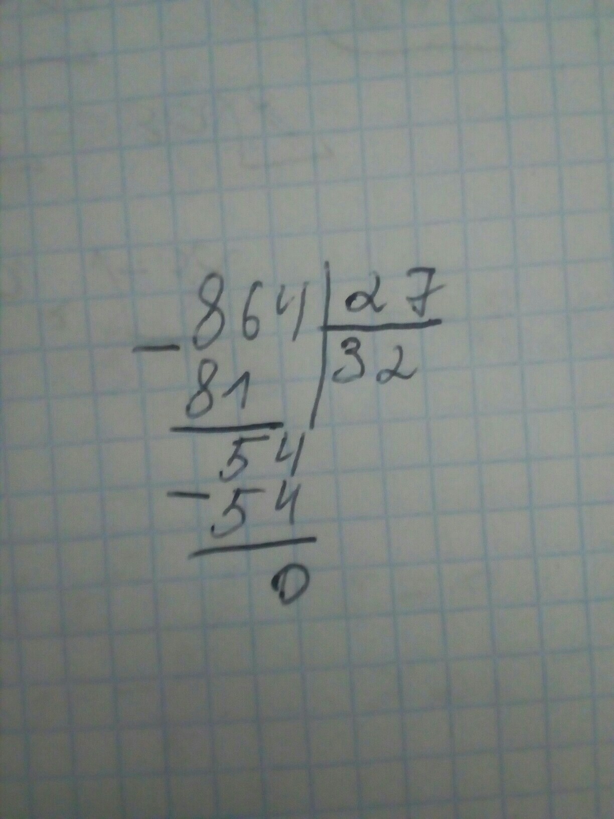
как раздильть в столбик 864:27
Ответы
Автор ответа:
6
удачи!!!!!!!!!!!!!!!!!
Приложения:
Похожие вопросы
Предмет: Алгебра,
автор: slaqw
Предмет: История,
автор: melnicukaroslav846
Предмет: Химия,
автор: Ksi122p5
Предмет: Математика,
автор: ilyo1997