Предмет: Алгебра,
автор: EvamillerSadunicorn
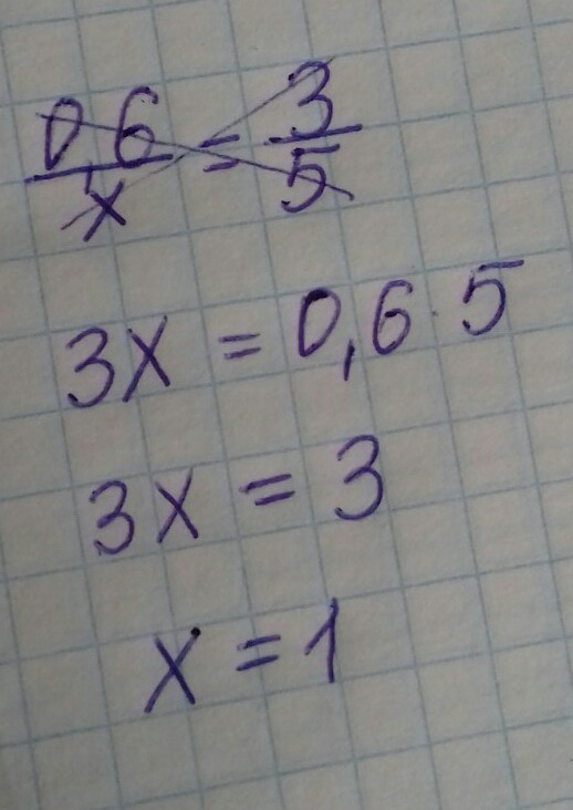
0,6:x= 3/5
Пожалуйста
MizoriesKun:
х=1 ))
3/5 это и есть 0,6
Ответы
Автор ответа:
0
Решение смотри на фото
Приложения:
Похожие вопросы
Предмет: Литература,
автор: valeriamihailuta308
Предмет: Математика,
автор: kazakovamaria0502
Предмет: Английский язык,
автор: dzanbaevaaida
Предмет: Математика,
автор: ануш7
Предмет: Литература,
автор: ana045697