Предмет: Алгебра, автор: ИллиданЯростьБури1

Показательные уравнение и неравенства.
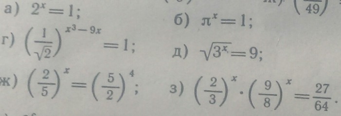
Решите уравнения.

Приложения:

Ответы

Автор ответа: Universalka
1

1)2^{x}=1\\2^{x}= 2^{o}\\x=0\\\\2)\pi^ {x}=1\\\pi ^{x}= \pi ^{o}\\ x=0

3)(\frac{1}{\sqrt{2}}) ^{x^{3}-9x} =1\\\\(\frac{1}{\sqrt{2}}) ^{x^{3} -9x}=( \frac{1}{\sqrt{2}}) ^{o}\\x^{3}-9x=0\\x(x^{2} -9)=0\\x(x-3)(x+3)=0\\x_{1} =0;x_{2}=-3; x_{3}=3

4)\sqrt{3^{x}}=9\\\\ 3^{x}=81\\\\ 3^{x}= 3^{4}\\ x=4

5)(\frac{2}{5}) ^{x}=( \frac{5}{2}) ^{4}\\\\(\frac{2}{5}) ^{x}=( \frac{2}{5}) ^{-4}\\\\x=-4

6)(\frac{2}{3}) ^{x}*( \frac{9}{8}) ^{x}= \frac{27}{64}\\\\(\frac{2}{3}* \frac{9}{8}) ^{x}= \frac{27}{64}\\\\(\frac{3}{4}) ^{x}=( \frac{3}{4}) ^{3}\\ x=3

Похожие вопросы