Предмет: Математика,
автор: morozko19951462
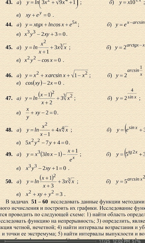
Помогите решить .вычислить указанные пределы.задание под номером 48
Приложения:
Ответы
Автор ответа:
0
https://www.symbolab.com - калькулятор для решения таких заданий
Похожие вопросы
Предмет: Математика,
автор: dianaakmatova125
Предмет: Информатика,
автор: dfils2403
Предмет: Математика,
автор: artem20111124
Предмет: Математика,
автор: Anonim3595
Предмет: Литература,
автор: полинка2050