Предмет: Математика,
автор: serega20012001

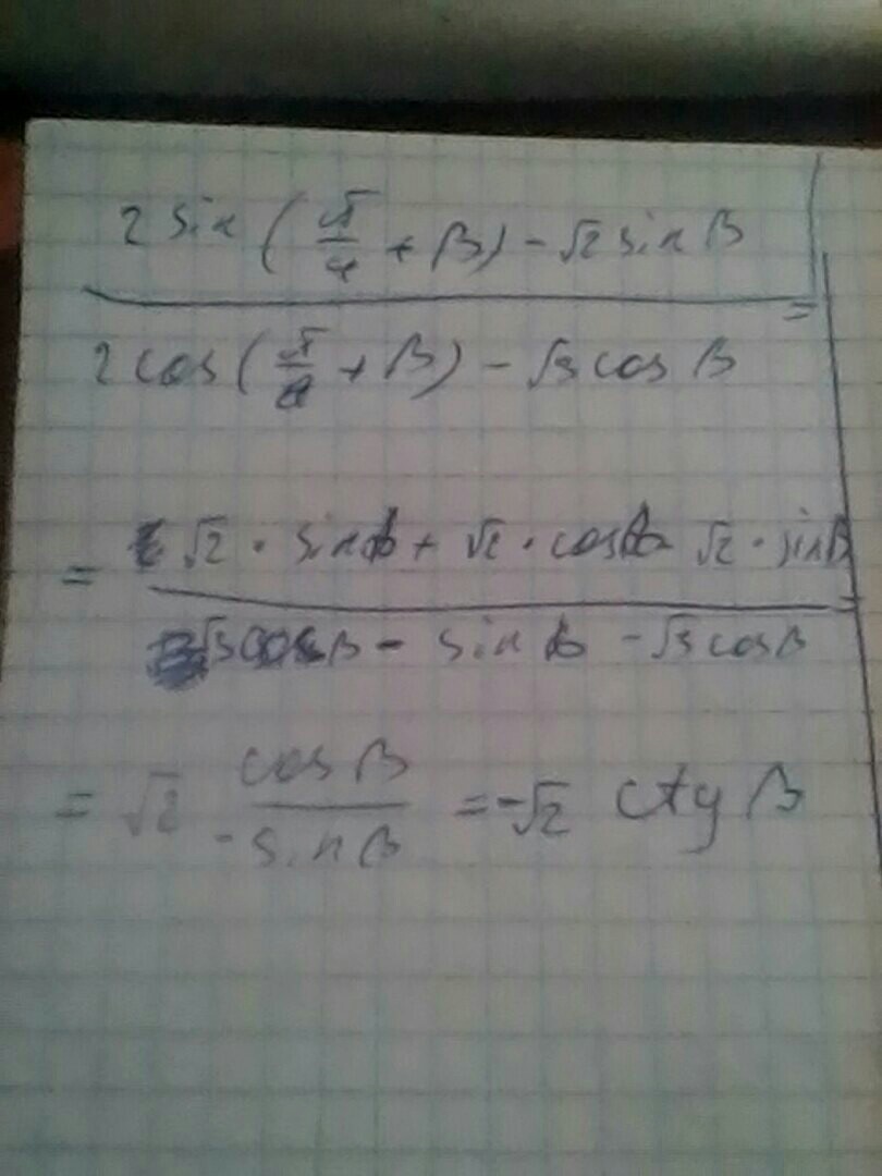
Помогите решить пожалуйста, нужно доказать тождество (3.1.8 на рисунке)
Приложения:
Ответы
Автор ответа:
1
,,,,,,,,,,,,,,,,,,,,,,,,,,,,,,,,,,,,,,,,,,,,,,,,,,,
Приложения:
Автор ответа:
0
решение во вложении......
Приложения:
Похожие вопросы
Предмет: Английский язык,
автор: pokrovalisa39
Предмет: Физика,
автор: Аноним
Предмет: Алгебра,
автор: kykytikiVdele
Предмет: Математика,
автор: huawei2016
Предмет: Алгебра,
автор: ghhhffdf