Предмет: Математика,
автор: yuruyu33
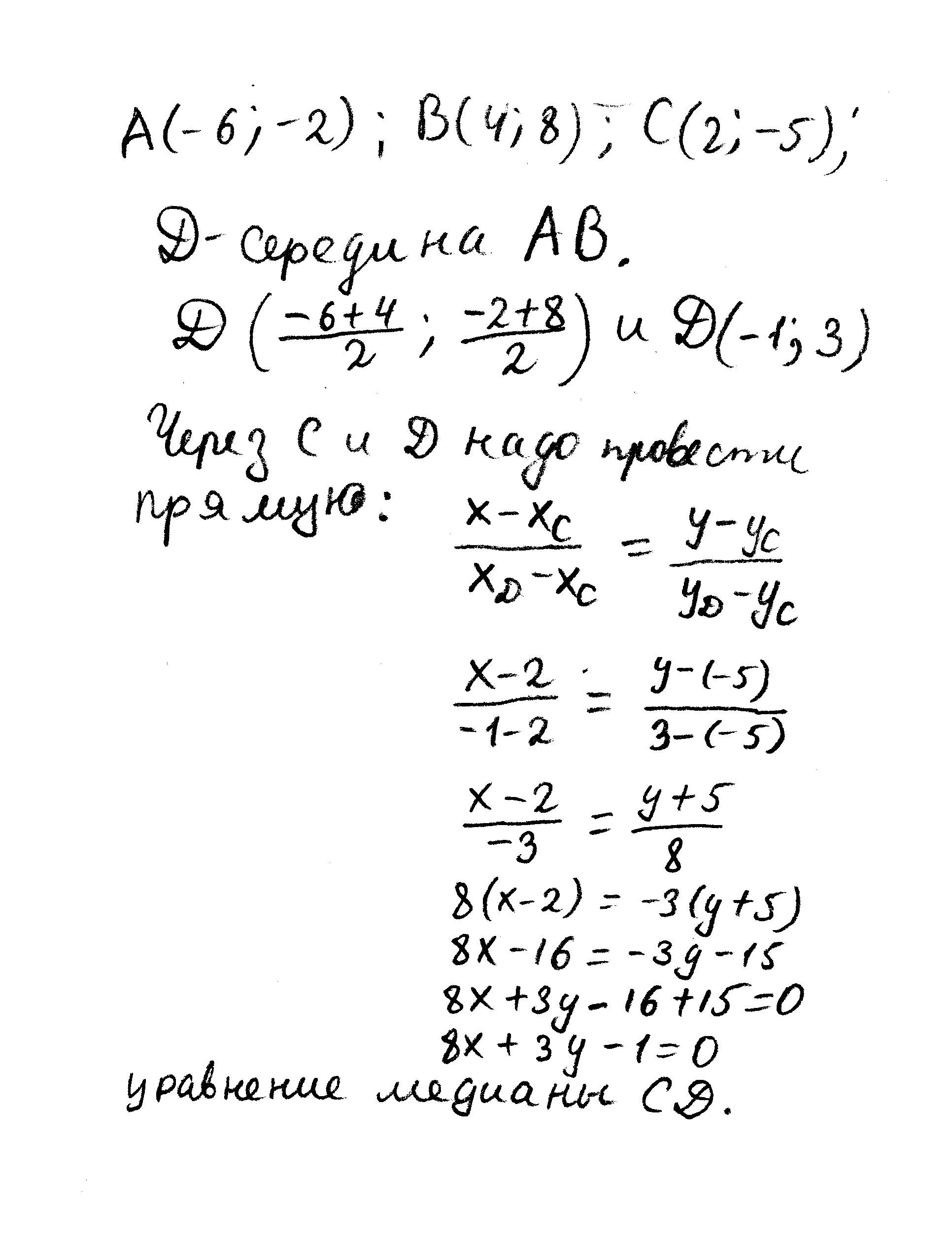
Треугольник A(-6;-2), B(4;8), C(2;-5). Найти уравнение медианы CD и высоты AE.
Ответы
Автор ответа:
0
Решение в приложении.
Приложения:
Похожие вопросы
Предмет: Английский язык,
автор: malikaisrailova416
Предмет: Экономика,
автор: peachpeach705
Предмет: Геометрия,
автор: Kytkaf
Предмет: Литература,
автор: йцц1
Предмет: Математика,
автор: cemke