Предмет: Математика,
автор: Shalkina2001
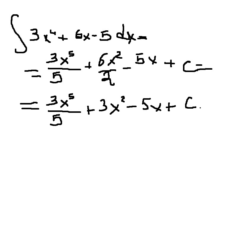
(3x^4+6x-5)dx = помогите
Ответы
Автор ответа:
0
1111111111111111111111111111111111111
Приложения:
Похожие вопросы
Предмет: Биология,
автор: ulialihanova398
Предмет: Английский язык,
автор: petrovnapana
Предмет: География,
автор: oliynyk41
Предмет: Литература,
автор: АлискаМожет
Предмет: Математика,
автор: Soniyagridasova