Предмет: Математика,
автор: koselevkirill843
!!!СРОЧНО!!! только последние 3 примера
Приложения:
jekadva:
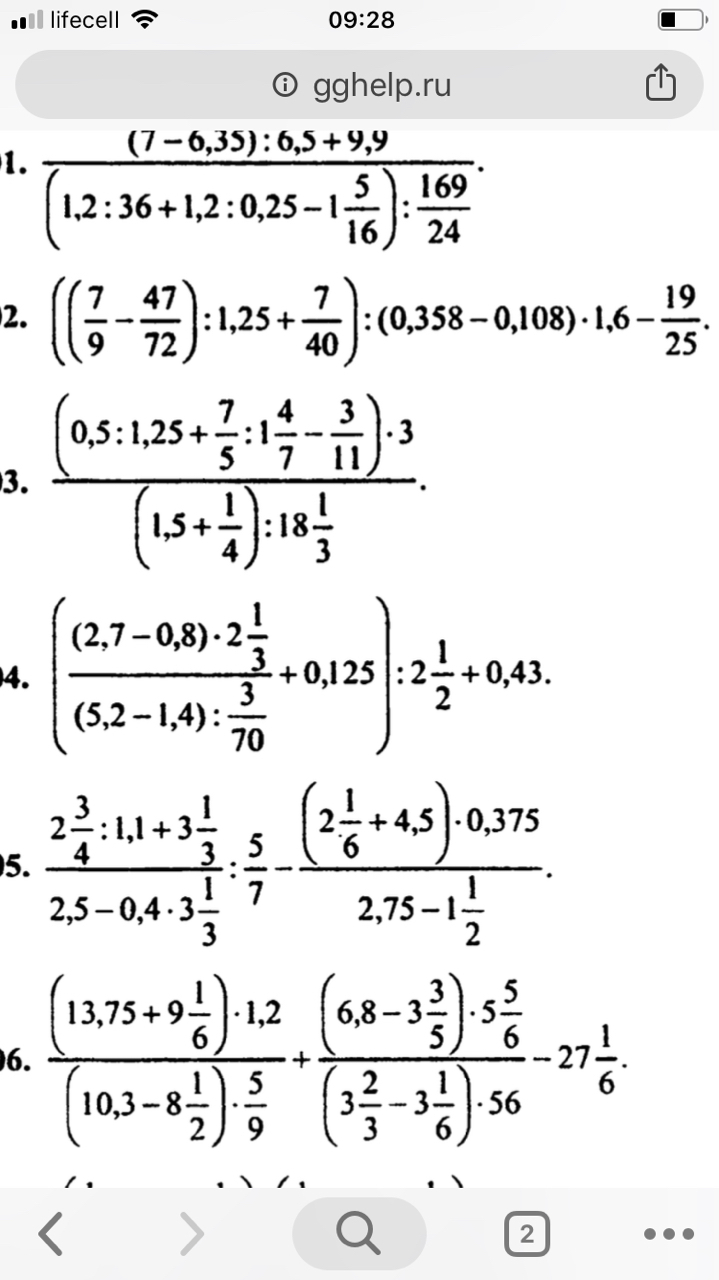
14) Ответ: 1/2
15) Ответ: 5
16) Ответ: 1
Ответы
Автор ответа:
0
................................
Приложения:
это ответ на первые три а мне надо на последние три
Не обратила внимание, если бы вы не отметили нарушение, я бы изменила фото
Изменила фото
в 5) в 4действии ошибка. = 1 1/6
15) ответ: 5
в 6) в 11действии должен быть плюс а не минус = 28 1/6
16) ответ: 1
Спасибо я исправила
Похожие вопросы
Предмет: Математика,
автор: paperozi
Предмет: Информатика,
автор: stevestaf629
Предмет: Математика,
автор: LeraDem1808
Предмет: Математика,
автор: марияник2
Предмет: Литература,
автор: kashinanina