Предмет: Математика,
автор: uliaseketа
срочно помогите
пж ......
Приложения:
Ответы
Автор ответа:
1
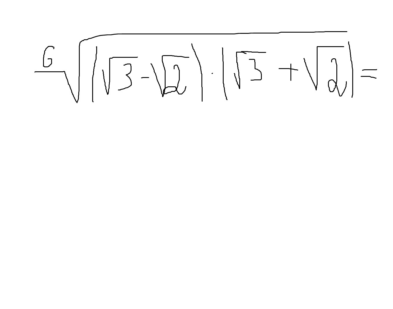
Здесь мы используем формулу , а также
Похожие вопросы
Предмет: Русский язык,
автор: pakamakakaka123
Предмет: Биология,
автор: arumkazbek
Предмет: Английский язык,
автор: viktoriya215
Предмет: Алгебра,
автор: Norichi
Предмет: Алгебра,
автор: zvyagintseva197