Предмет: Алгебра,
автор: BORJOMI1488
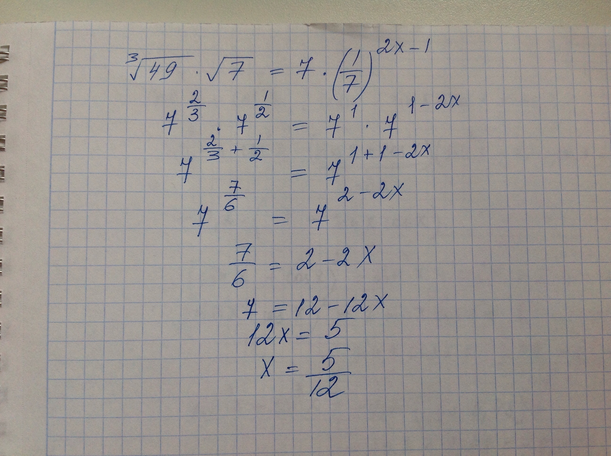
Сделайте уравнение под номером 3, дам 50 баллов
Приложения:
Ответы
Автор ответа:
0
Ответ на фото//////////////
Приложения:
Похожие вопросы
Предмет: Химия,
автор: moreshnickov
Предмет: Қазақ тiлi,
автор: Аноним
Предмет: Химия,
автор: 0680980
Предмет: Литература,
автор: Inn4ochkatasi
Предмет: Литература,
автор: MrPtenchik