Предмет: Алгебра,
автор: katerina3599
срочно помогите с дз, дам 15балов
Приложения:
Ответы
Автор ответа:
2
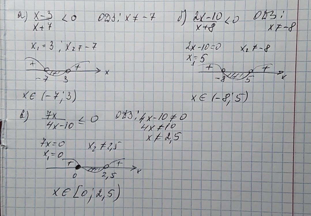
решение задания смотри на фотографии
Приложения:
mama7954:
Помогите пожалуйста дам 15 балов сор номер 1,2четверть 7 класс по Алгебре
выложите задание на свою страницу,я сделаю
Похожие вопросы
Предмет: Информатика,
автор: xXsard
Предмет: Українська література,
автор: factimhacker
Предмет: Математика,
автор: sycevgleb976
Предмет: Химия,
автор: dianaa526