Предмет: Геометрия,
автор: KC7567
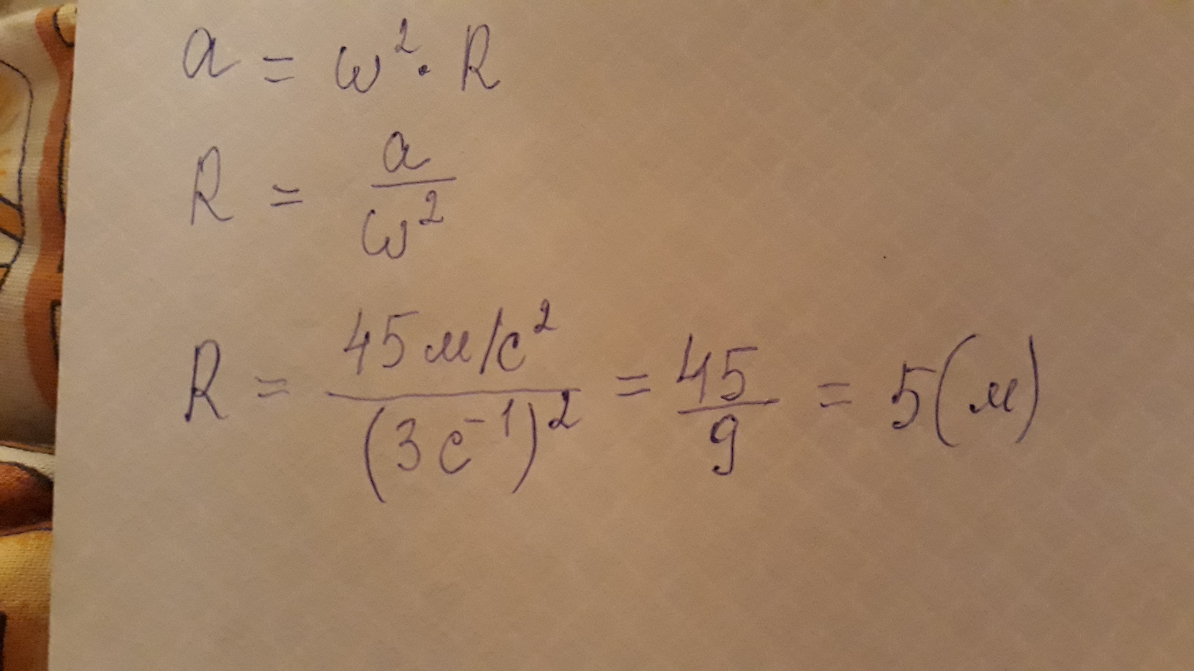
Помогите решить 13 номер пожалуйста
Приложения:
Ответы
Автор ответа:
1
Решение на вкладке смотри
Приложения:
Похожие вопросы
Предмет: Математика,
автор: hoaa
Предмет: Химия,
автор: muuxa228
Предмет: Русский язык,
автор: yaqubhasanov200
Предмет: Алгебра,
автор: kotenaks
Предмет: Химия,
автор: qwertyuiop187