Предмет: Алгебра,
автор: grasulov0
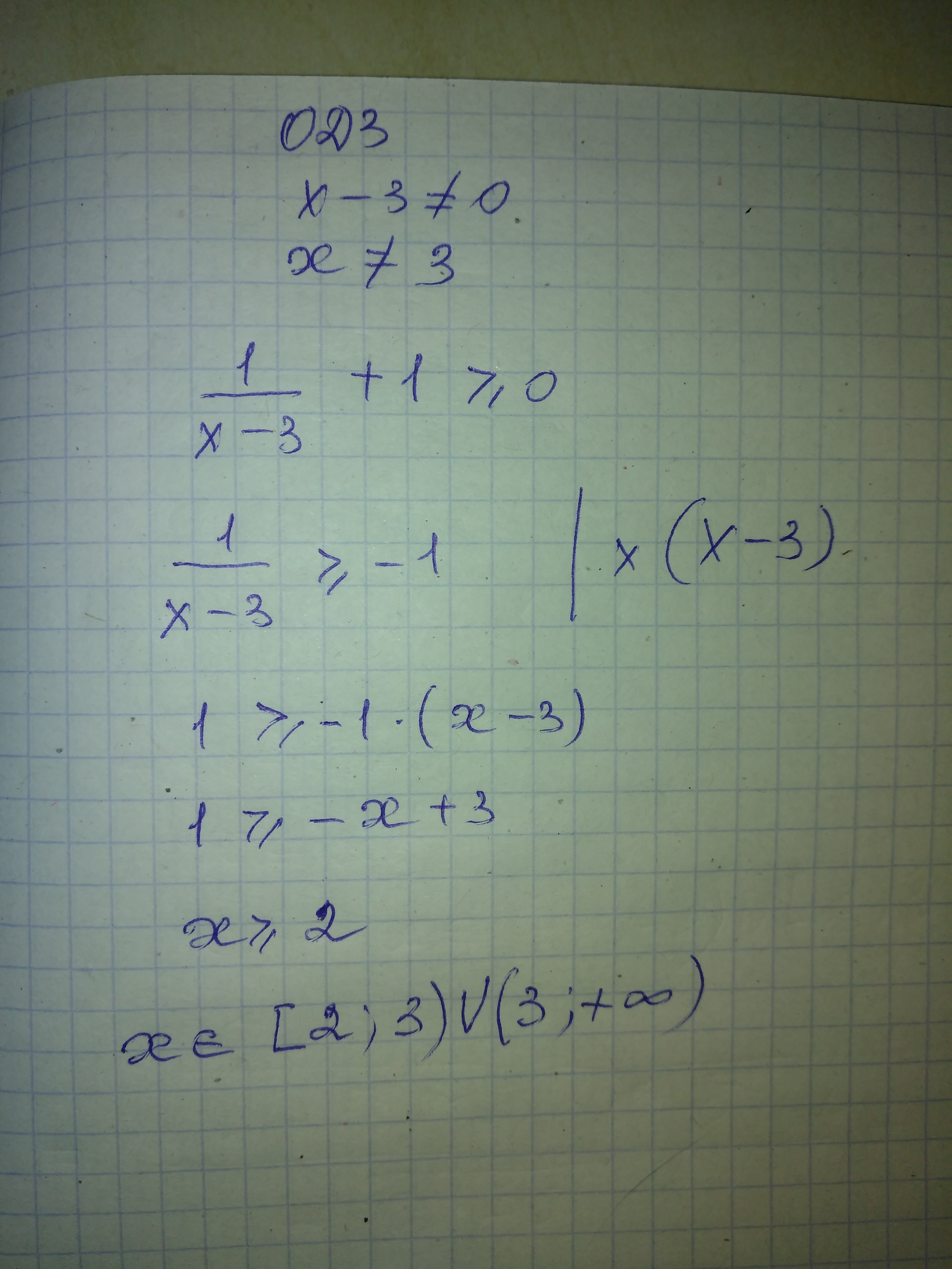
найдите область определения функции y=корень квадратный из 1/x-3 +1
Приложения:
Ответы
Автор ответа:
1
В приложении ...........
Приложения:
Похожие вопросы
Предмет: Биология,
автор: Аноним
Предмет: Геометрия,
автор: sasapisarenko186
Предмет: Литература,
автор: BibaBoba962
Предмет: Химия,
автор: vladtkalenko1
Предмет: Математика,
автор: legckopytov