Предмет: Алгебра,
автор: y9163753529
Помогите).подалуйста
Приложения:
Ответы
Автор ответа:
1
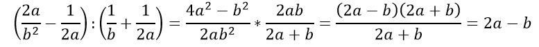
Ответ в прикрепленном изображении
Приложения:
Автор ответа:
0
Вот держы...............
Приложения:
Похожие вопросы
Предмет: Литература,
автор: dzhansaya07
Предмет: Алгебра,
автор: nektariaaaa
Предмет: Математика,
автор: rstavok
Предмет: Биология,
автор: 2виктория
Предмет: Математика,
автор: явшоке3