Предмет: Физика,
автор: pete89
Помогите по физике работа
Приложения:
Ответы
Автор ответа:
1
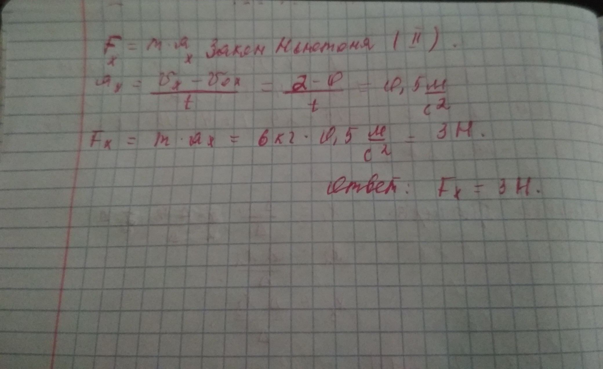
.................F = 3H.
Приложения:
pete89:
спасибо
Похожие вопросы
Предмет: Математика,
автор: konnikviktoriya
Предмет: Русский язык,
автор: 9504748
Предмет: Қазақ тiлi,
автор: zhanat19760504
Предмет: Алгебра,
автор: chrustiapogodu
Предмет: Литература,
автор: дианакей