Предмет: Математика,
автор: irasmol66
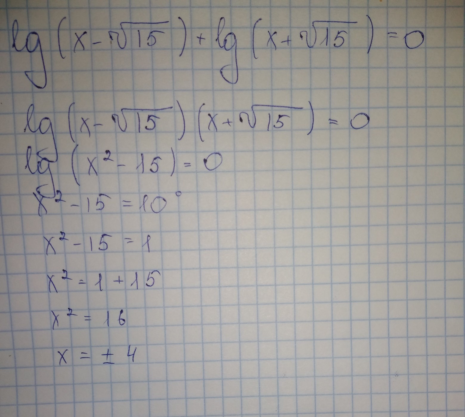
lg(x-корень 15 )+lg(x+корень из 15)=0
Ответы
Автор ответа:
1
Решение в картинке..........
Приложения:
Похожие вопросы
Предмет: Биология,
автор: railiansasha6105
Предмет: Химия,
автор: zuevajulia5003
Предмет: Литература,
автор: glstp
Предмет: Алгебра,
автор: Иогрь
Предмет: Математика,
автор: vovanata