Предмет: Алгебра, автор: zhidelevairina13

Дам 40 баллов!
Помогите пожалуйста, очень-очень нужно!!!!
Прошу Вас!
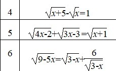
Нужно решение и ответ

Приложения:

Ответы

Автор ответа: DNHelper
1

4. ОДЗ: x ≥ 0

\sqrt{x+5}=1+\sqrt{x}\\x+5=1+2\sqrt{x}+x\\2\sqrt{x}=4\\\sqrt{x}=2\\x=4

Ответ: 4

5. ОДЗ: \begin{equation*} \begin{cases}   4x-2\geq0,    \\3x-3\geq0,\\x+1\geq0. \end{cases}\end{equation*} \Rightarrow \begin{equation*} \begin{cases}   x\geq\frac{1}{2},\\x \geq1,\\x \geq-1. \end{cases}\end{equation*} \Rightarrow x\geq1

4x-2+2\sqrt{4x-2}\sqrt{3x-1}+3x-3=x+1\\2\sqrt{4x-2}\sqrt{3x-1}=6-6x \Rightarrow 6-6x\geq0\Rightarrow x\leq1\Rightarrow x=1

Проверка:

\sqrt{4-2}+\sqrt{3-3}=\sqrt{1+1}\\\sqrt{2}=\sqrt{2}

Верно, корень подходит.

Ответ: 1

6. ОДЗ: \left \{ {{9-5x\geq0} \atop {3-x>0}} \right. \left \{ {{x\leq1,8} \atop {x<3}} \right. \Rightarrow x\leq1,8

\sqrt{9-5x}= \frac{3-x+6}{\sqrt{3-x}} \\ \sqrt{9-5x}\sqrt{3-x}=9-x\\(9-5x)(3-x)=(9-x)^2\\5x^2-24x+27=x^2-18x+81\\4x^2-6x-54=0|:2\\2x^2-3x-27=0\\D=9+4*2*27=225=15^2\\x_{1}=\frac{3+15}{4}=4,5; x_{2}=\frac{3-15}{4}=-3

x₁ не удовлетворяет ОДЗ.

Ответ: -3


zhidelevairina13: Спасибо большое!! А сможешь еще немножко порешать?
DNHelper: Посмотрю, что можно сделать
zhidelevairina13: https://znanija.com/task/30207124
Похожие вопросы
Предмет: Математика, автор: Аноним
Предмет: Математика, автор: levinskaavaleria58
Предмет: Математика, автор: travkinamasha