Предмет: Математика, автор: Лайса655

Решите второе и пятое задание

Приложения:

Ответы

Автор ответа: tagvah
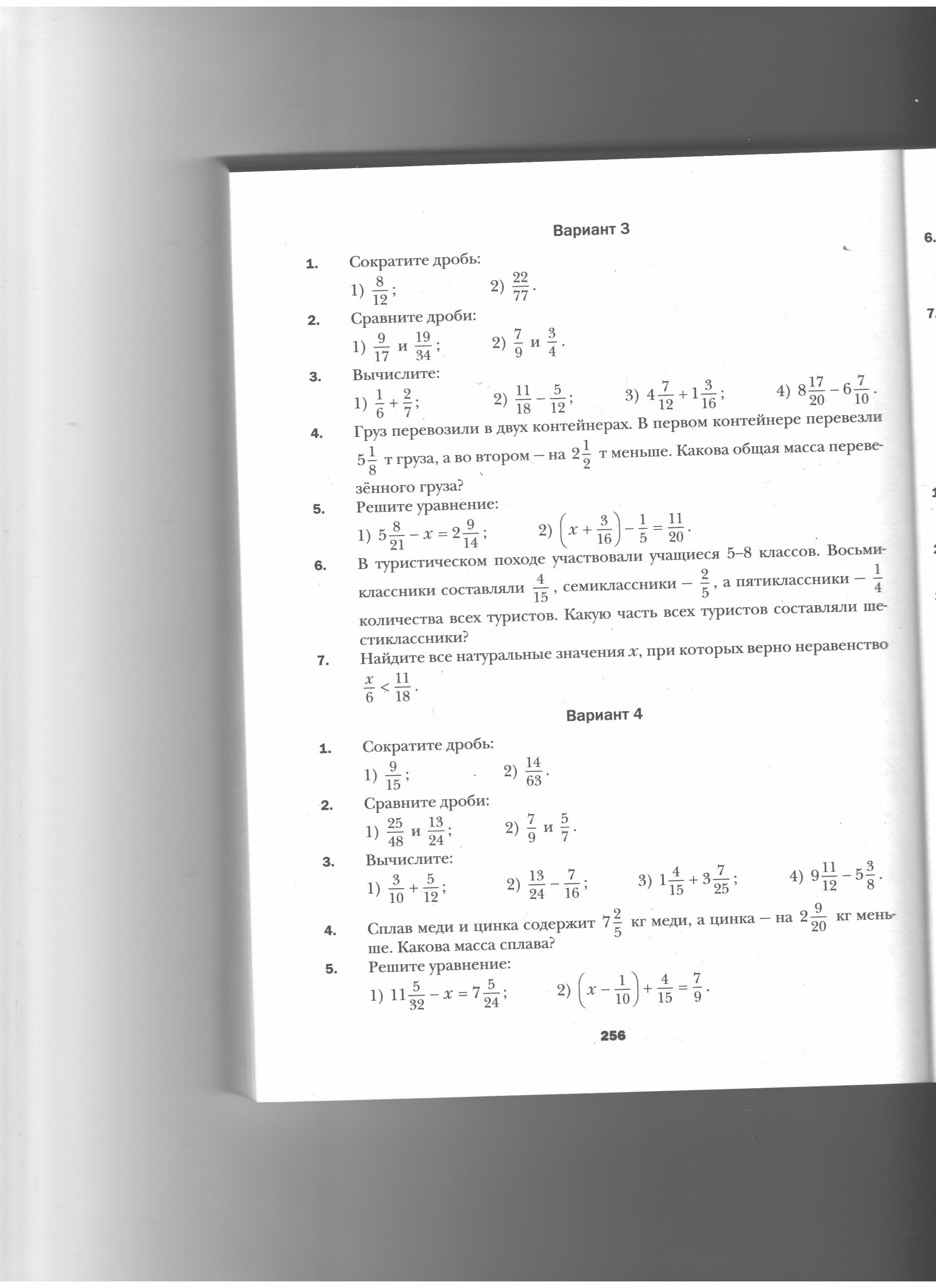
1
1) 9/17<19/34
2) 7/9>3/4
Автор ответа: marmoksuper12345
1

2)Задание:3 вариант

9/17 меньше 19/34

7/9 больше 3/4

2)Задание:4 вариант

25/48 меньше 13/24

7/9 меньше 5/7


marmoksuper12345: 5) Задание:
Похожие вопросы
Предмет: Українська мова, автор: gavrisuliya54
Будь ласка допоможіть с кр. Добрий день!
Сьогодні у нас контрольна робота з української мови.
Ось завдання ⬇️


1. У якому рядку допущено орфографічну помилку?
А Схопити, зпрощувати, стискати, зробити;
Б здійснити, зміцнити, сфальсифікувати, змурувати;
В сходити, спилювати, зчистити, зцілити.
2. У якому рядку всі слова пишемо зі знаком м’якшення?
А Донец..кий, ган..ба, швец.., тон..ший;
Б різ..бяр, т..мяний, нєн..чин, робит..ся;
В корис..тю, дівчинон..ці, на пис..мі, кін..чик.
3. У якому рядку допущено орфографічні помилки в написанні слів?
А Пам’ять, пів’яблука, Лук’яненко, солов’їний;
Б з’явитися, черв’як, довір’я, святкувати;
В возз’єднання, верб’я, пів’ящика, підгір’я.
4. Відшукати слово без м'якого знака:
а) обертаєт…ся;
б) ховаєш…ся;
в) співают… .
5. Знайдіть слово, в корені якого стоїть апостроф:
а) черв…як;
б) торф…яний;
в) круп…яний;
г) медв…яний.
6. Виділіть рядок, в якому всі слова вживаються з апострофом:
а) в…ється, моркв…яний, інтерв…ю;
б) м…яч, бур…як, без…язикий;
в) в…язати, хлоп…ячий, підгір…я.
7. Запишіть п'ять слів із префіксами роз-, без-.
8. Дані слова розподілити у дві колонки: з апострофом і без нього.
П…юре, під…їзд, духм…яний, торф…яний, св…ященник, в…язати, цв…ях, бар…єр, без…язикий, мавп…ячий, морв…яний, сім…я .
9. За допомогою префіксів з-, (зі-), с- утворити нові слова.
Орієнтуватися, казати, бігати, кріпити, косити, лити, ховати, гнати, фотографувати, творити.
10. Записати слова, поділивши їх рисками на склади.
Верба, дзьоб, працьовитий, кільце, кран, затишний, урок, передати.
Предмет: Геометрия, автор: 2806200912t
Предмет: Математика, автор: sunowl