Предмет: Алгебра,
автор: oksik97
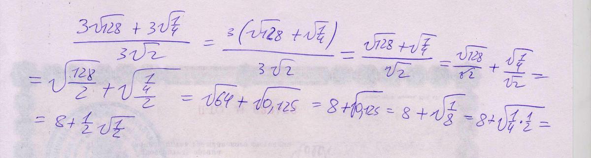
(3√128+3√1/4):3√2 помогитеее
Ответы
Автор ответа:
0
Решение в прикрепленном файле.
Приложения:
Похожие вопросы
Предмет: Алгебра,
автор: hevkm15427
Предмет: Математика,
автор: medinawow
Предмет: Английский язык,
автор: sabrinaniyazova07
Предмет: Физика,
автор: sadikkolobokler
Предмет: Биология,
автор: Аноним