Предмет: Алгебра,
автор: VikaShamd234
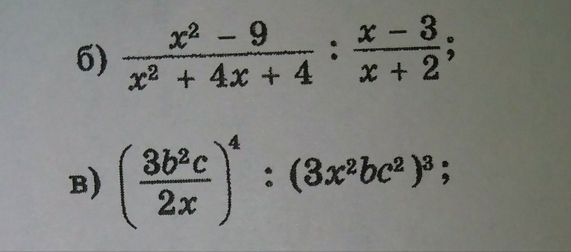
Помогите!!!!!!! 20-30 баллов!!!! Хотябы букву Б, просто очень надо!!!
Приложения:
Ответы
Автор ответа:
1
Смотри ))))))))))))))))))))))))
Приложения:
Похожие вопросы
Предмет: Другие предметы,
автор: maksimalekseev733
Предмет: География,
автор: Аноним
Предмет: География,
автор: Lero4ka208
Предмет: Математика,
автор: unwnow
Предмет: Алгебра,
автор: Verdy22