Предмет: Алгебра,
автор: tatyanabersenea
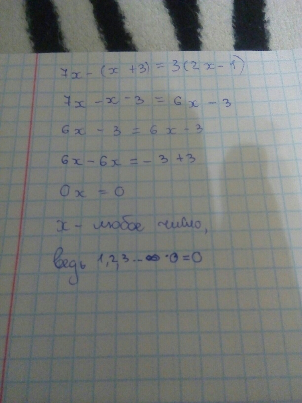
7х-(х+3)=3(2х-1) Помогите пожалуйста
Ответы
Автор ответа:
1
вооооооооо:оооооооооооот
Приложения:
Автор ответа:
2
7x-(x+3)=3(2x-1)
Далее расскрываем скобки:
7x-x-3=6x-3
Переносим x в левую сторону,а числа в правую:
6x-6x=-3+3
Решаем:
0=0
nastyabe1l:
боже, это потрясающе
Похожие вопросы
Предмет: Английский язык,
автор: filis021220
Предмет: Українська мова,
автор: un6636718
Предмет: Литература,
автор: malika592010
Предмет: Литература,
автор: 777пончик777