Предмет: Алгебра,
автор: fuks94
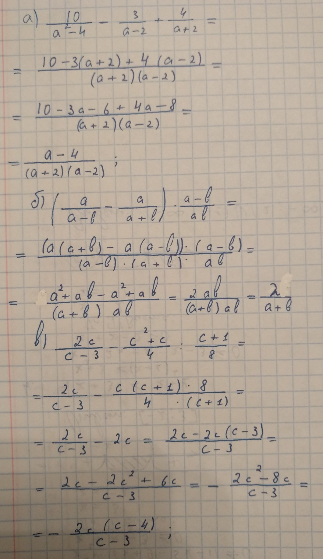
Помогите пожалуйста задачу упростить номер 10 и пожалуйста а,б,в помогите
Приложения:
Ответы
Автор ответа:
0
Насчёт последнего не уверена.
Приложения:
fuks94:
Это на какой пример?
10
Спасибо
Благодарю за помощь вы точно не уверены на счет последнего?
Похожие вопросы
Предмет: Биология,
автор: ohiotoeveryoneey
Предмет: Алгебра,
автор: amelnik425
Предмет: Русский язык,
автор: foobano
Предмет: Физика,
автор: levka1488