Предмет: Математика,
автор: Данякеп
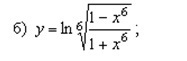
Найти производные заданных функций
Приложения:
Ответы
Автор ответа:
0
!!!!!!!!!!!!!!!!!!!!!!
Приложения:
Похожие вопросы
Предмет: Математика,
автор: Аноним
Предмет: Физика,
автор: saidshmidt5
Предмет: Математика,
автор: Amilinamira
Предмет: Геометрия,
автор: pandoo27