Предмет: Математика,
автор: ГIOJLNHA
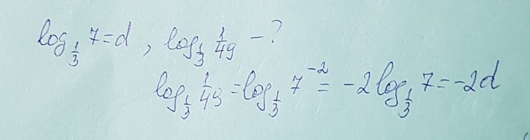
Всем привет!!!Нужна помощь с логарифмами=) напишите пожалуйста подробно,чтобы можно было разобраться самой)
Приложения:
Ответы
Автор ответа:
3
решение задания смотри на фотографии
Приложения:
ГIOJLNHA:
Спасибо вам)
пожалуйста
Похожие вопросы
Предмет: Геометрия,
автор: potapkina08listru
Предмет: Математика,
автор: miamimasha
Предмет: Литература,
автор: wertyyiuo
Предмет: Алгебра,
автор: Caramel11111
Предмет: Физика,
автор: Killasuekcbn