Предмет: Алгебра,
автор: AlexandeR0666999
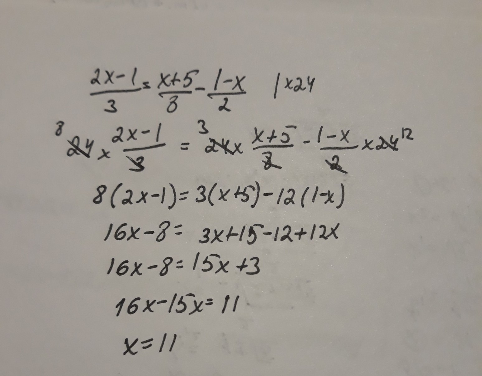
решите пожалуйста срочно
Приложения:
Ответы
Автор ответа:
1
.....................
Приложения:
Похожие вопросы
Предмет: Алгебра,
автор: aleksejloktev895
Предмет: Алгебра,
автор: kreveka0
Предмет: Математика,
автор: icepol
Предмет: Алгебра,
автор: KAB260801