Предмет: Математика,
автор: abdukodirxxx
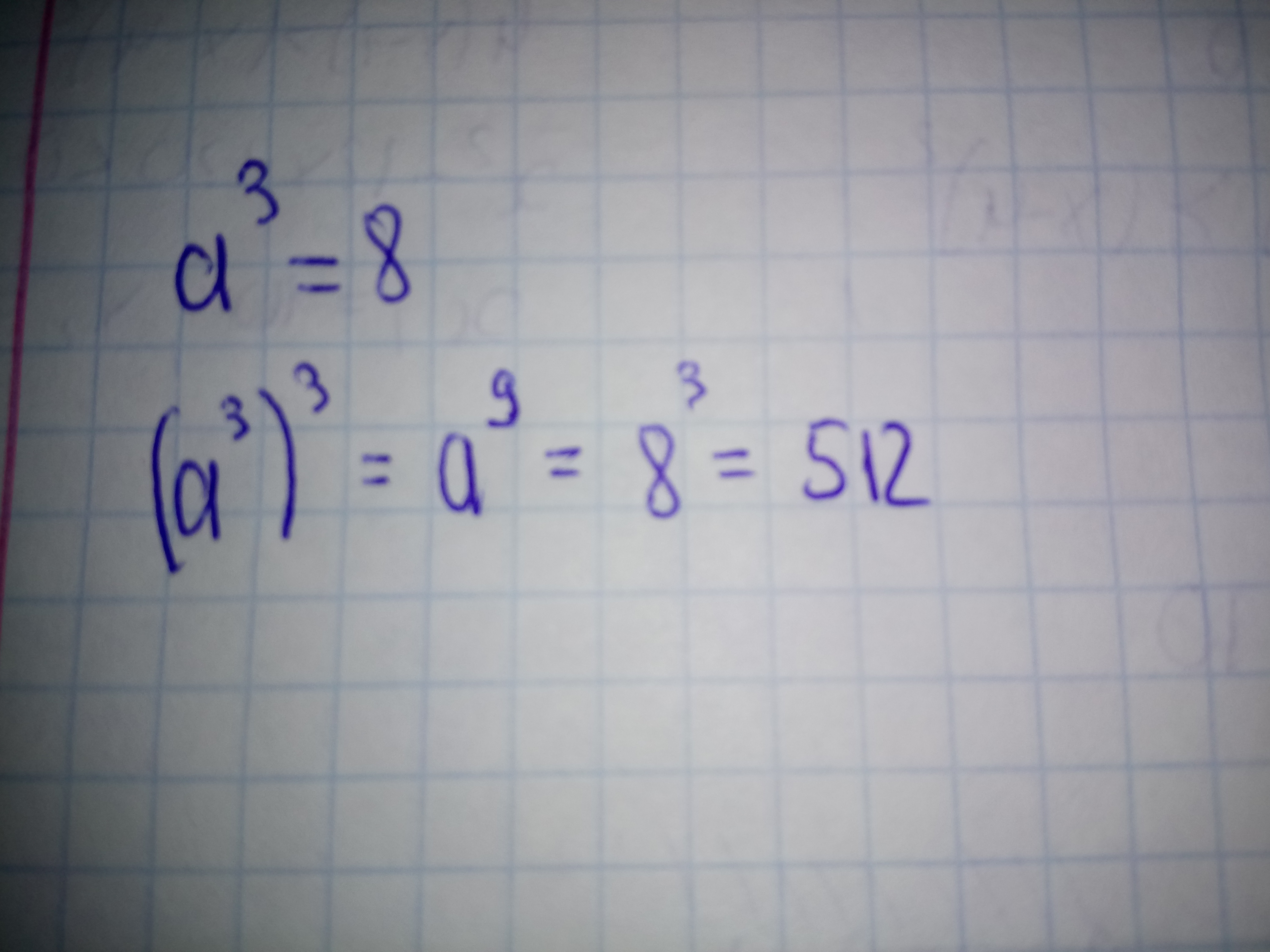
а³=8, а⁹=?
Подскажите плз. как решать эту задачу?
Ответы
Автор ответа:
0
2"3"=8
2"9"=512
Кавычки это степень
Автор ответа:
1
Решение задания приложено
Приложения:
Похожие вопросы
Предмет: Математика,
автор: lbiryulina16
Предмет: Английский язык,
автор: artyomgroznov07
Предмет: История,
автор: anknopa22
Предмет: Математика,
автор: Аноним
Предмет: Физика,
автор: михаил210