Предмет: Математика,
автор: KiNgBRO67
Ребят помогите пожалуйста решить оч трудно! Там нужно заменить обыкновенные дроби десятичными
Приложения:
Ответы
Автор ответа:
3
на самом деле все легко :)
Приложения:
Автор ответа:
0
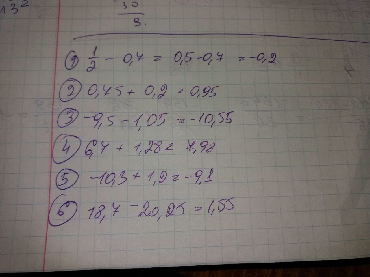
1) 1/2 -0,7=0,5-0,7=-0,2
2) 0,75+0,2=0,95
3) -9,5-1,05=-10,55
4) 6,7+1,28=7,98
5)-10,3+1,2=-9,1
6) 18,7-20,25=1,55
Похожие вопросы
Предмет: Математика,
автор: Аноним
Предмет: Алгебра,
автор: amirbaiguanyshev03
Предмет: Українська мова,
автор: qqwrx
Предмет: Физика,
автор: чепопалоялда
Предмет: Математика,
автор: Диана222111