Предмет: Алгебра,
автор: karina4671
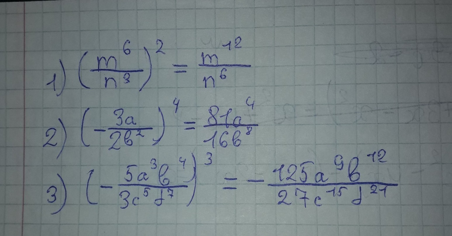
Номер 30)) решите плииз))
Приложения:
Ответы
Автор ответа:
0
вот, это правильно, знаки поставлены тоже правильно)
Приложения:
Автор ответа:
0
если не правильно то скажи
Приложения:
Похожие вопросы
Предмет: Русский язык,
автор: mmatvej272
Предмет: Математика,
автор: dianapolishchuk100
Предмет: Литература,
автор: karinautebaeva0
Предмет: Алгебра,
автор: володя47