Предмет: Алгебра, автор: AlexKryloff228323

Решите пожалуйста мейк тест

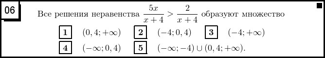
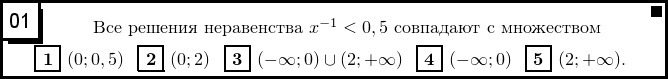
Приложения:

Ответы

Автор ответа: morr99
1
несложное неравенство :)
Приложения:
Похожие вопросы
Предмет: Математика, автор: marycevakira15
Предмет: Физика, автор: skezzballard627
Предмет: Английский язык, автор: uazaop12345
помогите,пожалуйста ​ с двумя заданиями 7, 8 .а)
ВОТ ТЕКСТ.
1)Train  station  in  Japan  are    usually   crowded  during  the  morning    and   evening  rush  hours  ,  so  professional   train  pushers need   to  push  people    onto   the  overcrowded   trains  .  They  also  take  care  of  passengers  '  safety  and  help  people  safely  board  and  exit  the  trains  .  They  have  to  wear   a  uniform   with   white  gloves  and  to  work    between  7 a.m. -  9  a.m . and  7  p.m. - 9 p.m. This job is  considered  part  -  time  and  students  don't  mind   doing  this  job.
2) People waste  a  lot of time waiting in  line . Some  people hate  waiting in line,   so  they hire   professional  stand  - in  -  liners to  do  the  job  .  Stand  - in - liners    hold  a  place  for  them  while they  they  take  care  of  an  equally important activity  elsewhere  I.e. at the  clinic ,  the sopping  mall  or  oven  at  the  movies.
3)  Ice  cream  tasters  are  food    scientists who  earn  a  universitydegree . They  work  for  large   ice- cream    corporations . They   manage  to EVALUATE ice  cream ,  not  just   for  taste   but  also  for  TEXTURE   , smell, and  CONSISTENCY reate  new   FLAVORS and  develop   new  products.  They   work    in  a  safe   and  clean  environment.   They  have  to   wear  a  uniform.  The  average   ice  cream  taster   earns   about  $60,000 per  year  .  Besides   having   a  good  sense   of  taste   , ice  cream   tasters  really  love  eating  ice  cream.
Предмет: Химия, автор: pashaorlov2