Предмет: Алгебра,
автор: Аноним
Найдите значение выражения.
Буду очень благодарена!
Приложения:
Ответы
Автор ответа:
1
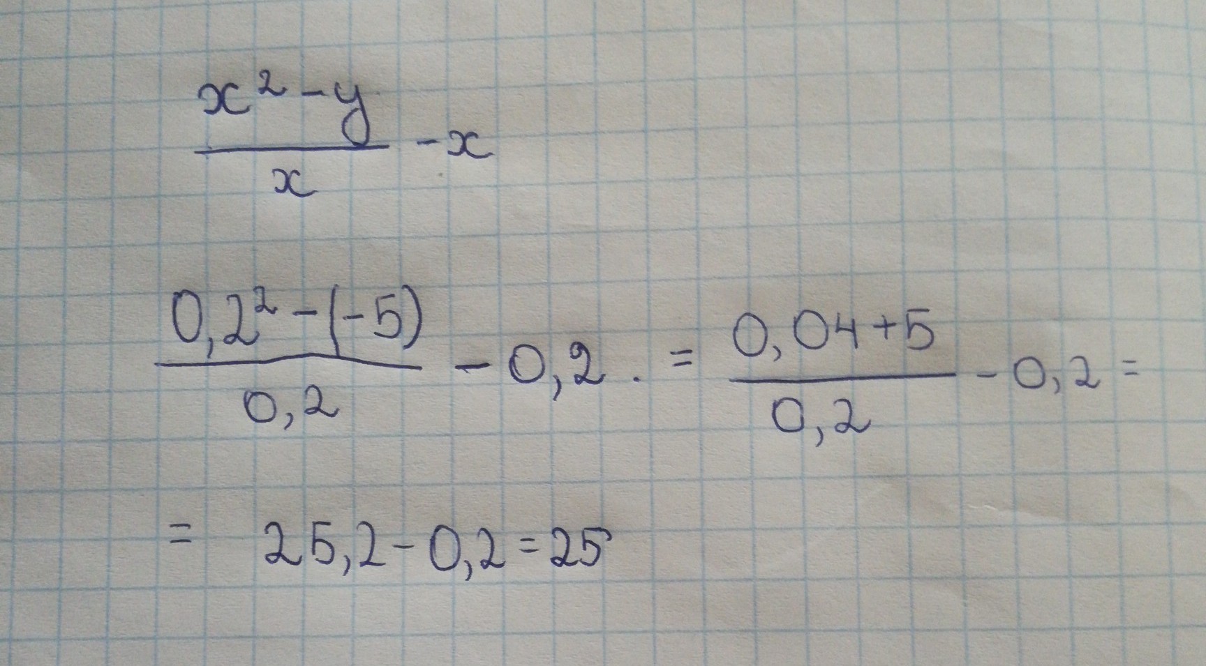
Лови решение))))
Ответ : 25
Ответ : 25
Приложения:
Аноним:
спасибо большое
Автор ответа:
1
x^2-y-x^2 / x= -y/x. подставляем значения: -(-5) / 0,2=5/0,2=25. Ответ: 25.
Похожие вопросы
Предмет: Другие предметы,
автор: prinsessa70
Предмет: Алгебра,
автор: alinadorosh12
Предмет: Алгебра,
автор: GoldAnonim666
Предмет: Литература,
автор: buren98
Предмет: Физика,
автор: aaalinok