Предмет: Алгебра,
автор: liana6079
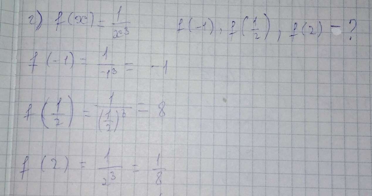
Для данных функции f(x) = 1/x3 вычислите f(-1) f(1/2) f(2)
Ответы
Автор ответа:
2
во вложении...................
Приложения:
Похожие вопросы
Предмет: Английский язык,
автор: obzobz900dd
Предмет: Геометрия,
автор: anastasiatumchyk642
Предмет: Обществознание,
автор: KAmILFO228
Предмет: Химия,
автор: володя46
Предмет: Математика,
автор: vinnipuhh