Предмет: Математика,
автор: Nastyona779
Как делать? заранее спасибо)
Приложения:
Ответы
Автор ответа:
0
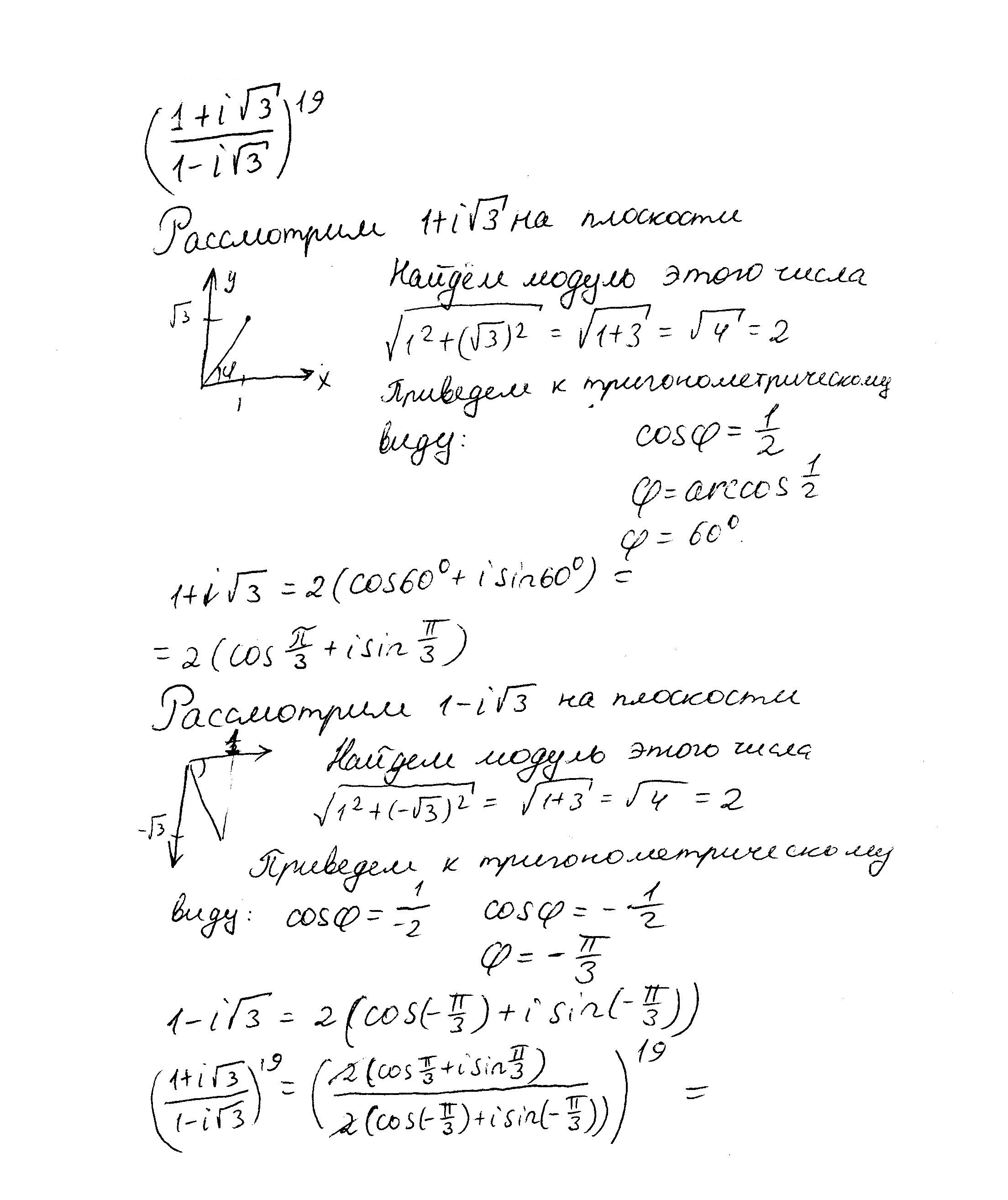
Решение в приложении.
Приложения:
Nastyona779:
Спасибо)))
Похожие вопросы
Предмет: Русский язык,
автор: Аноним
Предмет: Химия,
автор: violetflovver
Предмет: Химия,
автор: violetadabikovgan
Предмет: Геометрия,
автор: IlyaXXI
Предмет: Алгебра,
автор: Ilya777ilya