Предмет: Алгебра,
автор: fhrt447
Выполните действие СРОЧНО
Приложения:
Ответы
Автор ответа:
0
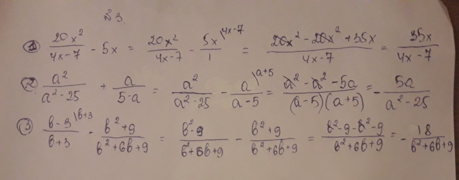
это ответ на пример а
Приложения:
Автор ответа:
1
решение на фото, надеюсь понятно))
Приложения:
Похожие вопросы
Предмет: Русский язык,
автор: Аноним
Предмет: Другие предметы,
автор: tdom4703
Предмет: Математика,
автор: pinkcatvika
Предмет: Право,
автор: piratka9999