Предмет: Математика,
автор: Аноним
ПОМОГИТЕ ВЫЧИСЛИТЬ КОРЕНЬ ЗАДАНИЕ НА ФОТО
Приложения:
Ответы
Автор ответа:
1
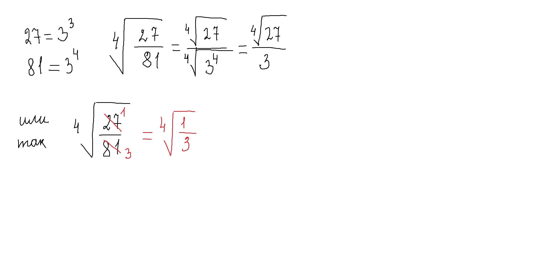
смотри решение внизу,не знаю какое подойдет.Корень ⁴√27 не извлекается,поэтому так:
Приложения:
Аноним:
ПОМОГИТЕ ТУТ https://znanija.com/task/30074973
Похожие вопросы
Предмет: Русский язык,
автор: Аноним
Предмет: Математика,
автор: Mariana20000000000
Предмет: Химия,
автор: olegkofi56
Предмет: Геометрия,
автор: ДеМат