Предмет: Алгебра,
автор: svetlanashandina10
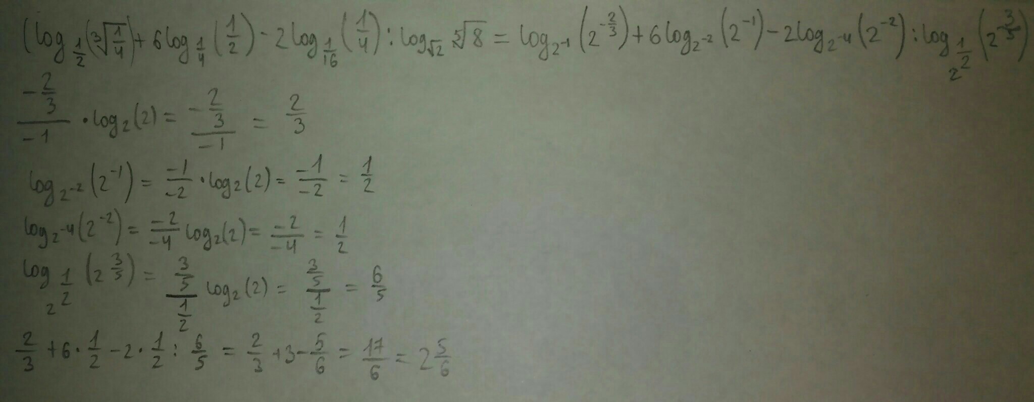
Помогите решить срочно пожалуйста , полностью решение
Приложения:
Ответы
Автор ответа:
1
отметь как лучшее, плиз:)
нужно представить в виде степени, затем упростить, посчитать.
нужно представить в виде степени, затем упростить, посчитать.
Приложения:
Похожие вопросы
Предмет: Алгебра,
автор: natalaabrahimova
Предмет: История,
автор: shindaicomunity
Предмет: Русский язык,
автор: arinalapatina7
Предмет: Математика,
автор: zhenyajoy
Предмет: Математика,
автор: KiruXa631