Предмет: Алгебра, автор: apolond

Помогите срочно за 5м ин нужно

Приложения:

Ответы

Автор ответа: zinaidazina
0

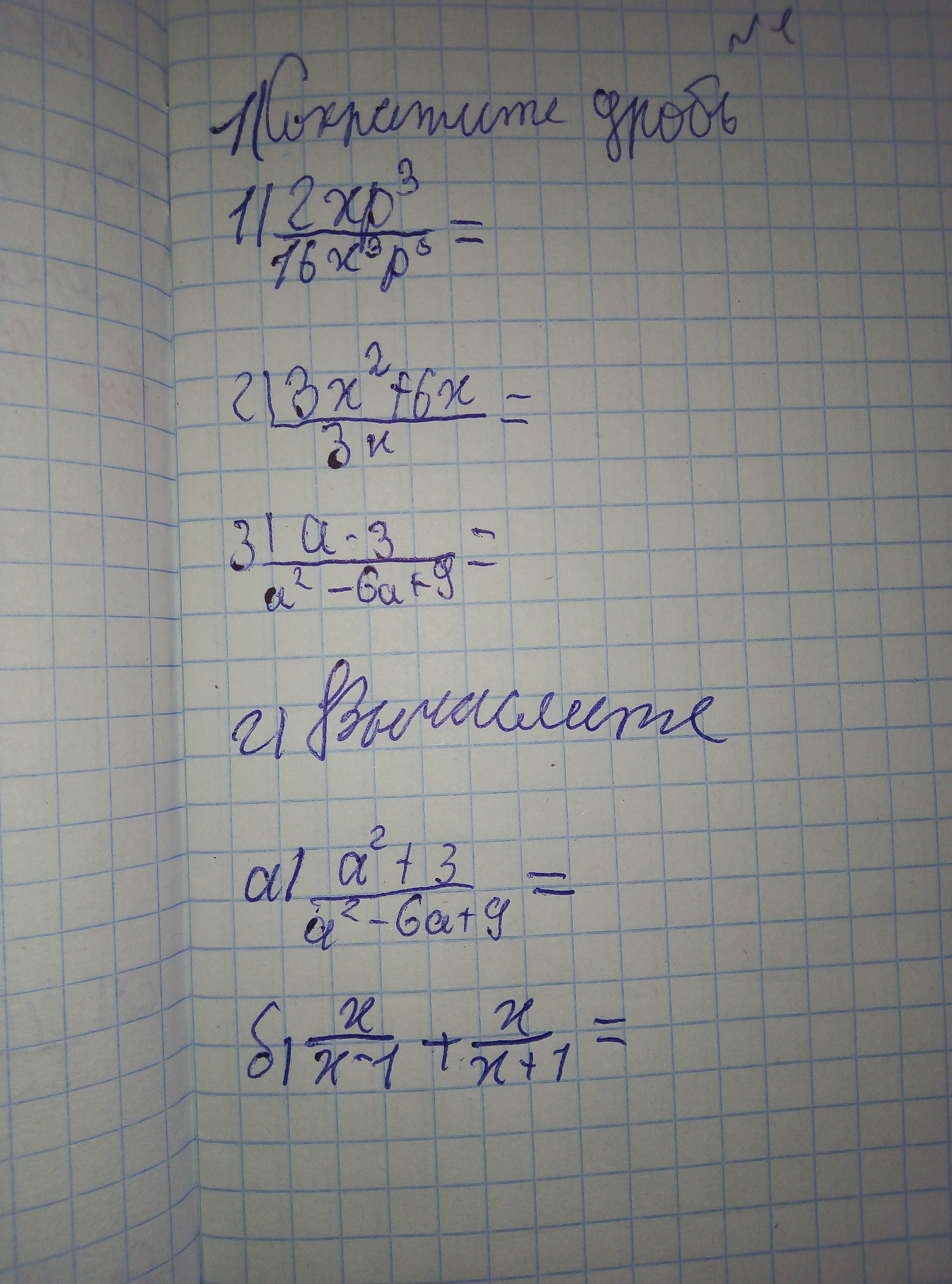
1)\frac{2xp^3}{16x^3p^3}=\frac{1}{8x^2}\\\\\\2)\frac{3x^2+6x}{3x}=\frac{3x(x+2)}{3x}=x+2\\\\\\3)\frac{a-3}{a^2-6a+9}=\frac{a-3}{(a-3)^2}=\frac{1}{a-3}\\\\\\a)\frac{a^2+3}{a^2-6a+9}=\frac{a^2+3}{(a-3)^2}\\\\\\b)\frac{x}{x-1}+\frac{x}{x+1}=\frac{x*(x+1)+x*(x-1)}{(x-1)(x+1)}=\\\\=\frac{x^2+x+x^2-x}{(x-1)(x+1)}=\frac{2x^2}{x^2-1}

Похожие вопросы