Предмет: Алгебра,
автор: quensbcp9e4ug
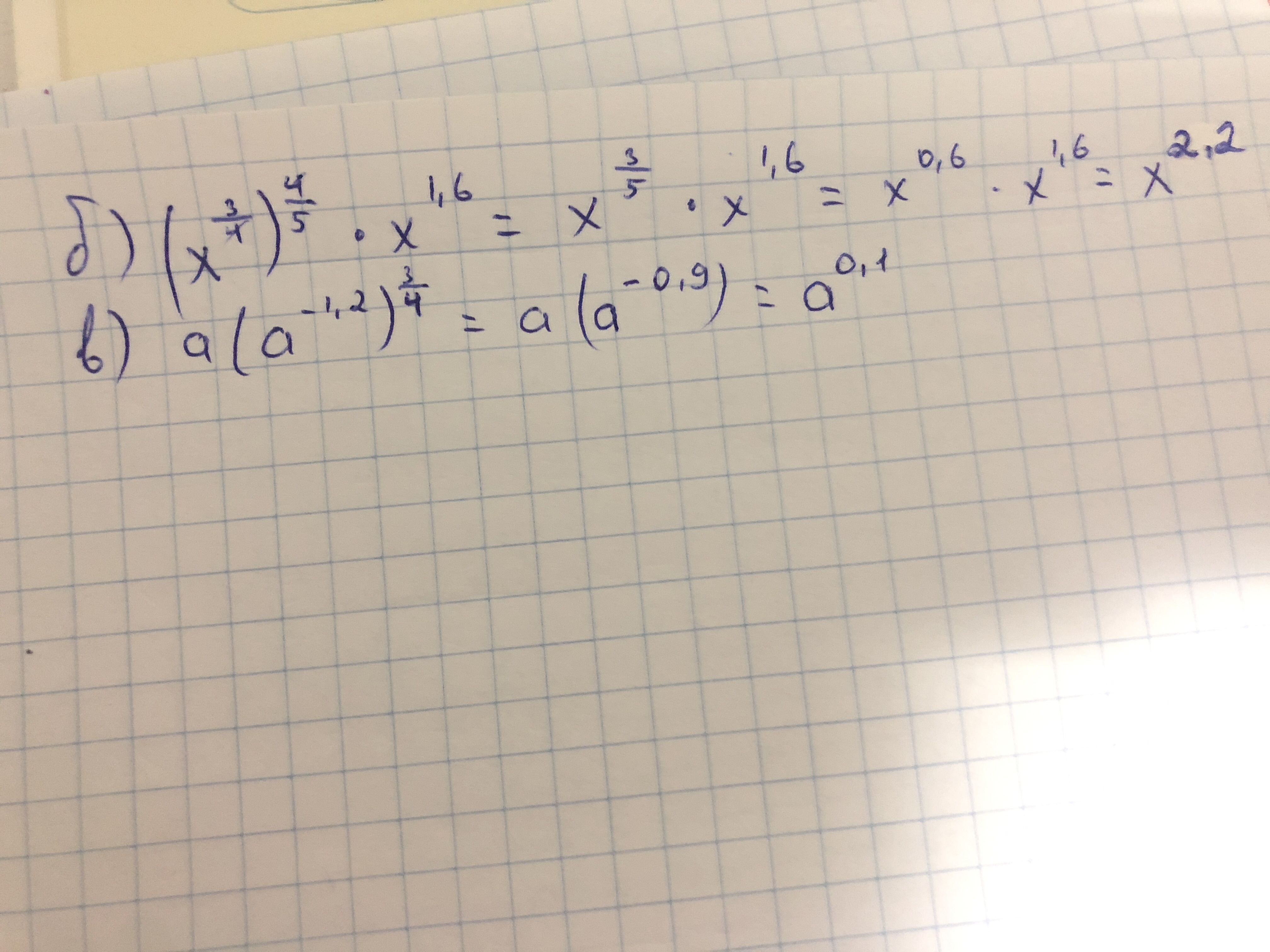
Упростите выражение
194 б) в)
Приложения:
Ответы
Автор ответа:
1
Решение на фотографии
Приложения:
Автор ответа:
0
kgcylcykclyckyxyoxkyxkxkg
Приложения:
Похожие вопросы
Предмет: Биология,
автор: marysorokopud
Предмет: Українська мова,
автор: diwenu
Предмет: Русский язык,
автор: zakypovagulnara288
Предмет: Физика,
автор: ekasimkin
Предмет: Математика,
автор: прокаженная