Предмет: Алгебра,
автор: lolap32
Как разложить на множители квадратный трехчлен
Пример:
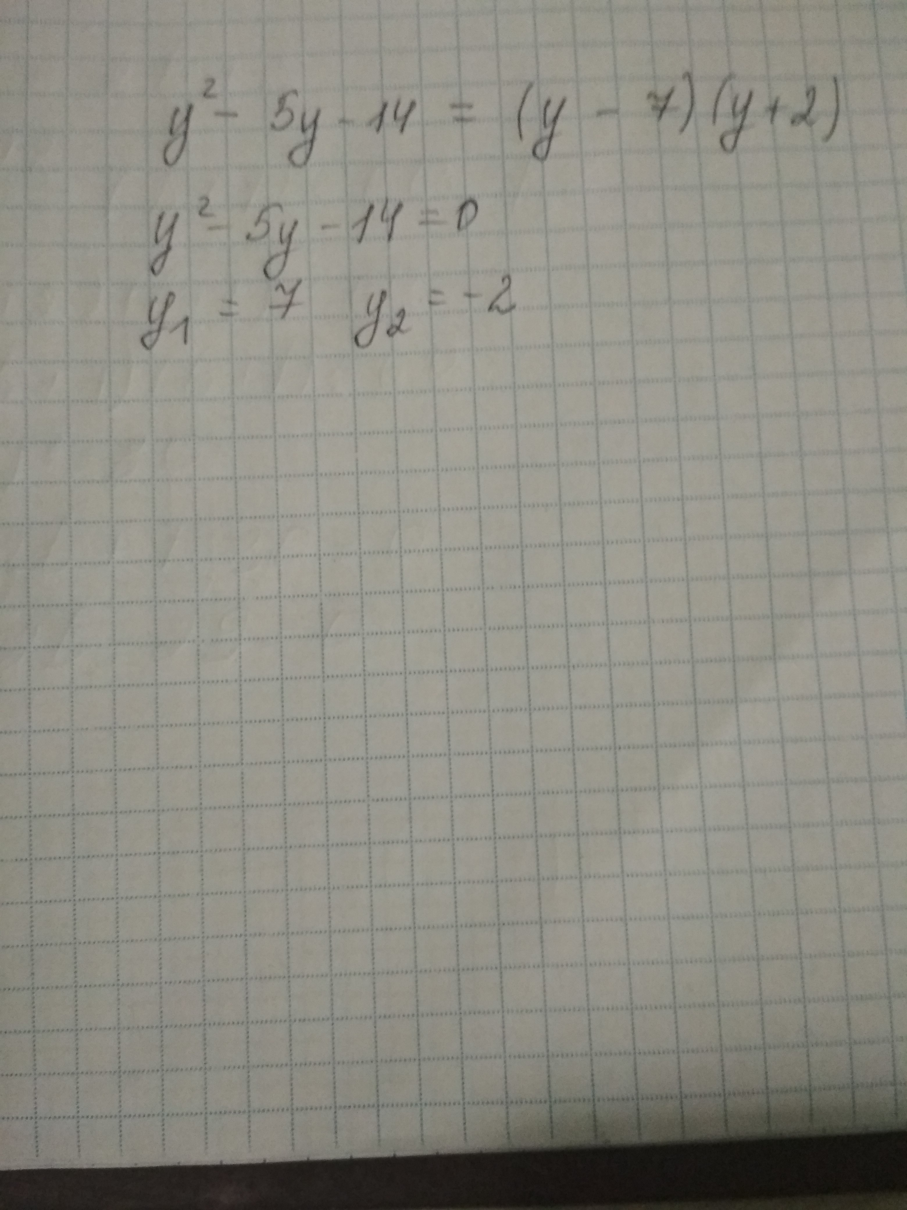
y^2-5y-14
Помогите!!!
Ответы
Автор ответа:
1
у'2 - 5у - 14 =(у-7)(у+2)
Приложения:
Похожие вопросы
Предмет: Алгебра,
автор: ismailovasamira76
Предмет: География,
автор: lolanton2010
Предмет: География,
автор: srunemogi
Предмет: Математика,
автор: assulzada90
Предмет: Алгебра,
автор: positive96